Guinea Current |
|
|
Large Marine Ecosystem | |
|
Project 02 June 2003 draft |
![]() |
|
Regional Project Coordinating Centre, Abidjan, Cote d’Ivoire, April 2003 |
|
A Programme of the Governments of the GCLME countries, with the assistance of GEF/UNIDO/UNDP/UNEP and US-NOAA |
2.0 PHYSICAL AND BIOGEOCHEMICAL SETTING
2.1 HYDROLOGY
2.2 GEOLOGY AND GEOMORPHOLOGY
2.3 OCEANOGRAPHY
2.4 IMPORTANT ECOTONES
2.41 MANGROVES/COASTAL FORESTS
2.42 AQUATIC FLORA AND FAUNA
2.5 MARINE MAMMALS AND TURTLES (ENDANGERED
SPECIES)2.6 FISHERIES
2.61 ARTISANAL FISHERIES
2.62 COMMERCIAL/INDUSTRIAL FISHERIES
2.63 Turtles and Marine Mammals
3.0 SOCIO-ECONOMIC AND DEVELOPMENT SETTING
3.1 HUMAN DEVELOPMENT AND DEMOGRAPHY
3.2 TOURISM
3.3 GOVERNANCE AND POVERTY
3.4 PHYSICALACTIVITIES IN THE COASTAL ZONES OF THE GCLME
3.41. Manufacturing
3.42. Agriculture
3.43. Oil and Gas
3.44. Salt Production
3.45. Sand Extraction
4.0 LEGAL, REGULATORY AND INSTITUTIONAL SETTING
5.0 MAJOR TRANSBOUNDARY PERCEIVED PROBLEMS AND
ISSUES1. Decline in GCLME fish stocks and non-optional harvesting of living resources;
2. Uncertainty regarding ecosystem status and yields in a highly variable environment including effects of global climate change;
3. Deterioration in water quality (chronic and catastrophic) pollution from land and sea based activities, eutrophication and harmful algal blooms;
4. Habitat destruction and alteration including inter-alia modification of seabed and coastal zone, degradation of coastscapes, coastline erosion;
5. Loss of biotic (ecosystem) integrity (changes in community composition, vulnerable species and biodiversity, introduction of alien species, etc).
6.0 FUTURE PERSPECTIVES AND NEXT STEPS
7.0 TRANSBOUNDARY DIAGNOSTIC ANALYSIS METHODOLOGY: SUMMARY AND WAY FORWARD
8.0 GCLME TDA
9.0 STAKEHOLDER ANALYSIS
10.0 ENVIRONMENTAL QUALITY OBJECTIVES
11.0 BIBLIOGRAPHY
1.0 BACKGROUND AND INTRODUCTION
The shared transboundary waters off the Gulf of Guinea are defined by the Guinea Current Large Marine Ecosystem (GCLME) which extends from Bissagos Island (Guinea Bissau) in the north (Latitude 11o N, Longitude 16o W) to Cape Lopez (Gabon) in the south (Latitude 0o 41’S, Longitude 8o 45’E) (Binet and Marchal, 1993) (figure 1). The oceanography of the waters of the Democratic Republic of Congo, Republic of Congo and Angola is influenced by the Guinea Current thus giving ample justification for including the three countries in the Guinea Current Large Marine Ecosystem (GCLME). Thus, the GCLME area includes the Exclusive Economic Zones (EEZ) of sixteen countries, namely: Angola, Benin, Cameroon, Congo, Côte d’Ivoire, Democratic Republic of Congo, Gabon, Ghana, Equatorial Guinea, Guinea, Guinea Bissau, Liberia, Nigeria, Sao Tome & Principe, Sierra Leone and Togo. The coastal habitats in the Guinea Current LME include near shore waters, salt marshes, mangrove swamps, estuaries, lagoons as well as other blackish water bodies. The total length of coastline in the Region is nearly 7,600 km including that coastline of the island State of Sao Tome and Principe and the insular parts of Equatorial Guinea (i.e. Bioko and Annobon islands). Angola has the longest coastline of about 1,650 km. . The lagoons covering more than 100 square kilometres include Nokoue and Porto Novo in Benin; Ebrie, Aby-Tendo-Ehy, and Grad Lahou in Cote d’Ivoire; Nkomi, Idogo, Ngobe, and Mbia in Gabon; Keta in Ghana, and Lagos and Lekki in Nigeria.

Table 1: Continental Shelf Area and Exclusive Economic Zones (EEZ) of GCLME Countries
| Country |
Continental Shelf (km2) |
EEZ (km2) |
| Guinea Bissau |
45,000 |
156,500 |
| Guinea |
47,400 |
71,000 |
| Sierra Leone |
25,600 |
165,700 |
| Liberia |
18,400 |
229,700 |
| Cote d’Ivoire |
10,200 |
104,600 |
| Ghana |
23,700 |
218,100 |
| Togo |
1,300 |
2,100 |
| Benin |
3,100 |
27,100 |
| Nigeria |
46,300 |
210,900 |
| Cameroon |
10,600 |
15,400 |
|
Equatorial Guinea |
14,710 |
283,200 |
| DR Congo |
1,150 |
1,000 |
| Congo |
11,300 |
60,000 |
| Gabon |
46,000 |
213,000 |
|
Sao Tome et Principe |
1,459 |
160,000 |
| Angola |
51,000 |
330,000 |
(Source: FAO, 1997 & World Resources 1994-1995)
2.0 PHYSICAL AND BIOGEOCHEMICAL SETTING
The Guinea Current coastal area is marked by characteristic low lying topography and interspersed with marshes, lagoons and mangrove swamps. Major geomorphic features of the continental shelf include bathymetric undulations of sand ridges, canyons, gullies, dead Holocene coral banks, pockets of hard ground and rocky bottoms (Awosika and Ibe, 1998). Submarine canyons are found in some places: off the Vridi canal (Trou Sans Fond), in Cote d’Ivoire; off west Nigeria (Avon Deep), off the Volta Delta in Ghana; off the west coast of the Niger Delta (Mahin Canyon) and off the Calabar estuary both in Nigeria (Allersma and Tilmans, 1993).
Three subsystems have been delineated in the Gulf of Guinea LME, each defined by its particular characteristics, which nevertheless contribute to the functioning of the ecosystem as a whole (Tilot and King, 1993). These include:
· Sierra Leone and Guinea Plateau: from the Bijagos Islands (Guinea Bissau) to cape Palmas (Liberia/Cote d’Ivoire). This area is characterized by the largest continental shalf in West Africa and has large riverine inputs, giving thermal stability.
· Central West African Upwelling: from Cape Palmas to Cotonou (Benin). This thermally unstable subsystem is characterized by seasonal upwelling of cold, nutrient-rich, subthermocline water, which dominates its annual cycle and drives the biology of the subsystem.
· Eastern Gulf of Guinea: from Cotonou to Cape Lopez (Gabon), including the offshore islands of Bioko and Sao Tome and principe. This area is cahracterised by thermal stability and a strong picnocline. It depends on nutrient input from land drainage, river flood and turbulent diffusion for its productivity (Tilot and King, 1993; Binet and Marchal, 1993)).
2.1. HYDROLOGY, SEDIMENTATION AND COASTAL EROSION:
Three narrow coastal sedimentary basins, with a few volcanic intrusions and outcrops of hard rock forming the major capes, have developed on the edges of the coastline along the Guinea Current region namely: the Côte d'Ivoire basin, the Niger basin (Delta) and the coastal basins from Gabon to Angola (R.E. Quelennec, 1987). All along these three coastal sedimentary environments there is strong influence of the pattern of river basins drainage. Numerous small rivers and four major river systems drain the whole coast of the GCLME from Guinea Bissau to Congo. The GCLME is one of the most endowed areas of the globe in terms of rivers. Twelve major rivers, including the Congo (Congo), Niger (Nigeria), Volta (Ghana), Wouri (Cameroon), Comoe and Bandama (Côte d’Ivoire), enter the ecosystem from an extensive network of catchment basins transporting great quantities of sediments. These rivers contribute over ninety-two million tons of sediment per annum into the Gulf of Guinea (Mahé, 1998; Folorunsho et al., 1998). During the 1970s and 1980s, river inputs decreased in the region coinciding with the period of the sub-Saharan drought (Lamb, 1982) which resulted in reduced flows of almost all the rivers (Mahé, 1998). Land run-off is also an important source of nutrients and suspended matter to the coastal and marine environment. Substantial quantities of nutrients originating from domestic and agricultural effluents, which are used in primary production, are carried to the sea through river outflows. However, excessive nutrient loading causes eutrophication and harmful algal blooms. The rivers transport industrial wastes especially from mining and other land based activities, thereby contributing significantly to the global pollution loading in international waters.
Among the most important rivers are:
· the Niger, which drains an area of over 1 million km 2 ;
· the Volta river, with a drainage basin of 390,000 km 2 (World Bank, 1994);
· the Congo river, the second largest mean annual run-off and catchment area in the world, with freshwater run-off and sediment discharge estimated at 30-80 tons/km 2
· Comoe River in Cote D’Ivoire.
However, for energy, irrigation and flood control purposes, most of these rivers have been dammed, with, as a consequence, significant alteration of their hydrology and their sediment flow, creating inevitable downstream impacts and accelerating coastal erosion processes, an. issue to be addressed by the Cote d’Ivoire National demonstration project and also in a parallel GEF project in the Volta River Basin. In terms of impact, the coastal basins, particularly along the Niger delta, are gradually subsiding because of the natural geology of the area, but also because of human activities, such as oil mining and natural gas exploitation. These factors are combining to cause displacements of structures, people and economies of coastal communities and urban centres. Harbour construction activities have altered longshore current transport of sediments and in many cases have led to major erosion and siltation problems. In terms of coastal processes, physical alteration, habitat modification and destruction, coastal erosion constitutes a serious problem in many countries in the GCLME. The rate of the coastal retreat can average several metres per year (for example erosion rates caused by port structures in Liberia, Togo, Benin and Nigeria sometimes reach a staggering 15-25 m per year). Although the coastline is highly subject to natural erosion and sedimentation processes due to high wave energy, strong littoral transport, etc., erosion has been intensified by human activities, notably through sand mining and exploitation, disturbance of the hydrological cycles, river damming, port construction, dredging, mangrove deforestation, etc. These are particularly relevant for the Western part of GCLME and mainly for the coastal countries Benin, Côte d'Ivoire, Ghana, Nigeria, Togo. Examples of coastal erosion rates in western Africa are given in UNEP (1999) as follows:
· Liberia - mean recession of 2m per year around Monrovia
· Ghana - 6m per year west of Accra since the closing of the Akosombo dam in 1964
· Nigeria - a coastal recession of about 500m has been recorded at Victoria Island since the construction of the Lagos Harbour in 1907.
· Togo and Benin - retreat rates of up to 500m have been recorded since the construction of the Lome and Cotonou ports.
Actions to control erosion around these ports are critically important to maintaining their vitality as sites for growing tourist, recreational, commercial and defence needs. On the other hand, and within the Niger freshwater river basin, the existing agro- chemical and agricultural run-off, the sedimentation load and the urban and industrial waste waters have certain notable impacts when considering the level of groundwater contamination and water-quality degradation. These sources of pollution are directly affecting the environment not only of the coastal countries but also that of some landlocked countries such as Mali, Niger and others. Toward the coast, the potential in terms of sea-level rise and its impacts is also great: shoreline retreat and erosion, increased frequency of submergence of the coastal wetlands and salt-water intrusion into estuaries and coastal aquifers, etc. These issues would be addressed by some components of the GCLME full project and by the parallel GEF project in the Niger Basin.
Table 2: Hydrological characteristics of some rivers in the GCLME
| Country |
Catchment 1000 km2 |
Yield T/km2 /yr |
Load 1000 t/yr |
Sand Mi m3/yr |
Length of Coast km |
| Cote d’Ivoire R. Sassasdra R. Cavally R. Bandama R. Comoe Total |
79 44 97 110 340 |
65 |
2,900 5,300 7,200 6,700 22,100 |
0.28 0.51 0.68 0.64 2.13 |
620 |
| Ghana R. Pra R. Volta Total |
38 402 440 |
70 |
2,400 15,500 17,900 |
0.27 1.06 1.33 |
465 |
| Togo R. Mono Total |
29 29 |
60 |
1,600 1,600 |
0.18 0.18 |
80 |
| Benin R. Oueme Total |
48 48 |
50 |
2,400 2,400 |
0.23 0.23 |
90 |
| Nigeria R. Ogun R. Niger R. Cross Total |
47 2,156 60 2,263 |
80 |
1,100 40,000 7,500 48,600 |
0.1 2.5 0.7 3.3 |
850 |
(Adapted from Per Roed J. 1989).
2.2. GEOLOGY AND GEOMORPHOLOGY
The coastal geology of the Guinea Current region is dominated by the Volta, Niger and Congo basins. Another recognizable tectonic feature in the region is the Benue rift, parallel to Volcanic Cameroon Mountains which extend into the ocean as islands of Fernando PO, Principe, Sao Tome and Pagalu. Geomorphologically, the Guinea Current Coastal Zone consists of (1) low-lying sandy barrier islands, behind which are a complex lagoon network that stretches from Cote d’Ivoire to the Niger Delta in Nigeria and creeks. (2) muddy coast e.g. the Mahin mud coast in Nigeria (3) isolated pockets of cliffed and rocky coast especially around Cape Three Points in Ghana, off Senegal and Cameroon occurring as extensions of the African crayton and (4) a narrow continental shelf. In general the continental shelf of the area is quite narrow ranging between 15 and 105 km (see Table 2 in annex). The widest part of the continental shelf is off Guinea. Off Abidjan in Côte d’Ivoire, the shelf is divided into two by a “bottomless pit” (“le trou sans fond”) which extends almost to the shoreline. From here the shelf widens towards the east reaching its widest part of about 90 km off Cape Coast in Ghana. The shelf narrows again further eastwards between Tema (Ghana) and Lagos (Nigeria). Off Nigeria, the middle shelf configuration is modified by the Avon, Mahin and Calabar canyons, as well as pockets of dead Holocene coral banks (Williams, 1968; Ssentengo et al., 1986; Awosika and Ibe, 1998). East of Lagos, the shelf widens to about 85 km off the Niger Delta beyond which it (the shelf) narrows to an average width of 30 – 40 km. The shelf generally breaks at depths of between 100 and 120 m (Awosika and Ibe, 1998). A belt of dead corals runs almost parallel to the coastline between 50 and 140 m depth in the Guinea Current Region and submarine canyons occur at a number of locations off Côte d’Ivoire, Ghana and Nigeria.
Major geomorphic features of the Guinea Current shelf include bathymetric undulations of sand ridges, canyons, gullies, Dead Holocene coral banks, pockets of hard grounds, rocky bottom and deep seated and shallow fault structures (Awosika & Ibe, 1998). The coastal morphology of the GCLME region is a succession of:
· Sandy arid coastal and plains bordered by eolian dunes (Angola);
· More or less sandy marshy alluvial with estuaries and deltas, colonized by mangrove vegetation (Guinea-Bissau and Guinea, Sierra Leone);
· Rocky scarps and sandy beaches, alternating with mangrove vegetation (Sierra Leone, Liberia, eastern Nigeria to Gabon);
· Low sandy coastal plains which alternate with lagoons along the Gulf of Guinea (Côte d'Ivoire, Ghana, Togo, Benin, Congo estuary up to the Angolan border);
· Huge marshy areas formed by the Niger delta, with mangroves indented by fluvial channels which are subject to tidal influence.
There are also a number of islands and archipelagos in the Eastern part of the Guinea Current region namely, Sao Tome and Principe and Annabon in Equatorial Guinea.
2.3 OCEANOGRAPHY
The entire Guinea Current LME is highly stratified with a thin surface layer of warm fresh tropical water (25 o-29OC, 33-34 PSU), overlying high salinity subtropical water (19o-28o, 35-36.5PSU). An additional contribution of saline water comes from subducted subtropical water from the North Atlantic. The lower salinities characteristic of the coastal surface water reflect excess of precipitation over evaporation in the Niger Delta of Nigeria. On this shelf tropical surface water mass becomes much influenced by river discharges through the existence of a discreet plume of river discharge water. The stratification of the upper water column along the Guinea Current coast is generally very strong except in areas subject to upwelling events.
![]() |
Figure 2: Sea Surface Temperature trends in the Gulf of Guinea. Three areas between the coastline and latitude 4oN and the indicated longitudes.
![]() |
Figure 3. Variations in Monthly Rainfall in Lagos Over a 19-Year Period (Awosika Et Al 2000)

Figure 4: Monthly Variations in Sea Surface Temperature in the CECAF region including the GCLME.
Off the coast of the GCLME, five distinct and relatively persistent oceanic currents are of importance in respect of transport of substances, water temperature, meteorology and biological conditions. They are:
· Benguela current, flowing along the South West African coastal zone (Namibia, Angola);
· Guinea current flowing eastward and south-eastward, which carries warm waters along the coast of Gulf of Guinea, near the Equator;
· Guinea current constitutes the continuation of the Equatorial counter-current;
· South Equatorial current, which flows some distance from the coast, between 10°S and the Equator;
· Canary Current which flows south-westward along the coast in the northern part of the GCLME (Mauritania, Senegal, etc.). It feeds both the Guinea current and the North Equatorial current.
The surface and subsurface circulation in the Gulf of Guinea are depicted in Figure 2. The Guinea Current (GC) is an eastward superficial flow extending only to the 25 m depth offshore and shallower closer inshore (Binet and Marchal, 1993; Binet, 1995). It overlays the Guinea Under Current, GUC which flows westward. The GC is fed by the North Equatorial Counter Current (NECC). To the south of it (GC) is the South Equatorial Current (SEC). Generally, the Guinea Current flows eastward but a westward flow may occasionally be encountered in the Gulf of Guinea, especially between November and January (Anon 1996). According to Anon (1996), “the average rate of both the easterly and westerly flows is about 0.4 m s-1 although the usual rate is 0.8 m s-1 and reaching a maximum of 1.0 m s-1”. This structure of surface and subsurface circulation is similar to what obtains in other upwelling ecosystems (Binet 1991). Bakun (1978), also draws some similarities between the Guinea Current upwelling ecosystem and other eastern ocean boundary upwelling systems like the Canary and Benguela current ecosystems lying to the north and south respectively of the Guinea Current LME.
Using time series analysis Koranteng (1998) showed that the trend of offshore sea surface temperature in the Gulf of Guinea (obtained from the Comprehensive Ocean Atmosphere Dataset (COADS) (Woodruff et al., 1987)) exhibits a general increase since 1946 (Figure 3). The hydrographic regimes and nearshore coastal processes in the Gulf of Guinea are the major factors which determine fish stock abundance and distribution in the region (Williams, 1968; 1969; Koranteng, et al., 1996). For example, the abundance and distribution of small pelagic fish species are controlled mainly by the intensity of the seasonal coastal upwellings (FRU/ORSTOM, 1976; Bard and Koranteng, 1995). During the upwelling, high biological activity takes place; phytoplankton and zooplankton production rise considerably, and most fishes spawn at this time (Houghton and Mensah 1978). The main fishing season in the area occurs during the major upwelling period (Mensah and Koranteng, 1988).
Both the Canary and Benguela currents transport cool waters towards the Equator and have current speeds of approximately 20 cm/sec. All the currents are essentially wind-driven. As a consequence, the upwelling phenomena, generated by the regional wind systems, dominate in bands of some tens of kilometre widths adjacent to the coast. The cool and richer upwellings waters prevail along the north-western part from November to April/May; along limited parts of the northern parts of the Gulf of Guinea, and strongly in winter along the southern coastline (August), weaker in summer (November-February) (World Bank Report, 1994). The thermal instability and intensive seasonal upwelling (around the Cote d’ Ivoire-Ghana) characterize the northern subsystem of the Guinea Current LME. The southern subsystem is generally stable depending on nutrient input originating from land drainage and river flood and oceanic turbulent diffusion, although periodic upwellings have been reported. These characteristics combine to make this area one of the world’s productive marine areas rich in fishery resources and an important reservoir of marine biological diversity.

Figure 5: Surface Circulation in the eastern tropical Atlantic. NECC: North Equatorial Counter Current; GC: Guinea Current; SEC: South Equatorial Current. Hatched belt along the coast: Seasonal upwelling and Sardinella aurita fishery area.
2.4. IMPORTANT ECOTONES
The coastline of the region is generally low lying and interspersed with marshes, lagoons and mangrove swamps. A number of estuaries interrupt the barrier beaches that separate mangrove swamps from the sea. A large variety of ecotones or habitats exist in the Guinea Current LME. Among them are located:
· Wetlands habitats, where mangrove forests are the most apparent features (close to 25,000 km extension from Guinea Bissau to Angola). The areas of highest mangrove concentration are located along the coasts of Guinea and Guinea Bissau, Sierra Leone and mainly in the Niger Delta of Nigeria. The huge marshy area formed by the Niger delta is colonised by mangroves indented by fluvial channels which are subject to tidal influence. The delta and associated wetlands of the Niger River rank among the largest in the world (about 7,415 km2; Scott, 1966). The wetland is made up of permanent saline creeks, inter-tidal mangrove swamps, estuaries and beach ridges. Although these mangrove forests are less diverse in terms of species than those found in East Africa, they are the best developed and most extensive in Africa. Most of the coastal wetlands provide unique ecological conditions and habitats for migratory birds. They function also as a nursery for valuable fish and shellfish species, but remain unprotected with regards to natural and human influences and exploitation;
· Coastal lagoons, which are found mainly in the Gulf of Guinea, from Côte d'Ivoire to east of Nigeria are associated with freshwater rivers, deltas, and estuaries and include a wide range of tidal swamps and seasonal marshlands;
· Seagrass beds which are not very well developed in the region, although there are indications of isolated patches in some estuaries and delta mouths. Also there are no true reefs along the GCLME coast mainly due to the cool waters of the Benguela and the Canary currents;
· Sandy beaches, particularly along Angola. They are considered important nesting ecosystems, in particular for sea turtles. Their exposure to strong currents and swells make them extremely dangerous. In these areas, they are often subject to marine debris and detritus accumulation.
Table 3: Marine area, mangrove area, and important coastal lagoons of the GCLME
| Country |
Marine Area (sq. m) |
Mangrove Area (Sq. m) |
Lagoons |
Area (km2) |
| Benin |
7,900 |
30 |
Nokoué Porto-Novo |
139.50 17.52 |
| Cameroon |
4,500 |
4,860 |
* |
* |
| Cote d’Ivoire |
30,500 |
640 |
Ebrié Aby-Tendo-Ehy Grand Lahou |
560 410 250 |
|
Equatorial Guinea |
82,600 |
120 |
Volcanic crater lakes |
* |
| Gabon |
62,300 |
1,150 |
Nkomi Ndogo Ngobe Mbia |
806 582 402 242 |
| Ghana |
63,600 |
630 |
Keta Sakumo-Accra Songaw Korle# |
330 23.6 18 |
| Nigeria |
61,500 |
12,200 |
Lagos# Lekki |
460 247 |
|
Sao Tome and Principe |
600 |
10 |
* |
* |
| Togo |
37,400 |
* |
Togo Vogan (Boko) Aneho |
46.6 8 3 |
(In Awosika & Abe, 1998)
* No Lagoon of appreciable size; # heavy polluted lagoon
2.41. Mangroves:
Mangroves, typically Rhizophara sp, Conocarpus sp, Avicennia sp, Mitragyna inermis, Laguncularia sp, occur almost everywhere along the coasts in the GCLME and are dominant in certain places, such as the Niger Delta of Nigeria which has Africa's largest and the world's third largest mangrove forests (Ukwe, et al. 2001). Wetlands are major habitats in the Niger Delta of Nigeria supporting vegetation that is adapted more or less to continuous water logging and includes marshes, sloughs and estuaries. The estimated total area of wetlands in the Niger Delta is about 1,794,000 ha consisting of 617,000 ha of saline and 1,177,000 ha of freshwater swampland (NEST, 1991).
The importance of mangrove areas as spawning and breeding grounds for many transboundary fish species and shrimps is well known. Presently the mangrove forests in the GCLME region are under pressure from over-cutting (for fuel wood and construction timber) and from other anthropogenic impacts (e.g. pollution), thereby jeopardising their roles in the regeneration of living resources and as reservoirs of biological diversity. Results obtained during the Pilot Phase Gulf of Guinea LME Project showed that in Ghana, 55 percent of the mangroves and significant wetlands around the greater Accra area have been decimated through pollution and overcutting. In Benin, the figure is 45 percent in the Lake Nokoué area, in Nigeria, 33 percent in the Niger Delta, in Cameroon, 28 percent in the Wouri Estuary and in Côte d’Ivoire, about 60 percent in the Bay of Cocody (Isebor, 1999). Various human activities in the coastal countries destabilise the mangrove ecosystem, consequently affecting the health of the system and impacting negatively on the role of mangroves in the regeneration and sustenance of associated living resources and as reservoirs of biological diversity.
Table 4. The Distribution of Mangrove Vegetation in Nigeria (in Land Use Area Data of Nigeria (FAO, 1981)
|
Coastal State |
Area of Mangrove (sq. km) |
Mangrove Forest Reserve (sq. km) |
| Edo Cross River and Akwa Ibom LagosOgun Ondo Rivers |
3,470.32 721.86 42.20 12.18 40.62 5,435.96 |
143.75 57.19 3.13 - - 90.62 |
|
Total |
9,723.14 |
304.69 |
| Family |
Species |
Cote d’Ivoire |
Ghana |
Togo |
Benin |
Nigeria |
Came-roon |
| Rhizophoraceae |
Rhizophora racemosa |
+ |
+ |
+ |
+ |
+ |
+ |
| R.. mangle |
+ |
+ |
+ | ||||
| R. harrisonii |
+ |
+ |
+ | ||||
| Avicenniaceae |
Avicennia africana |
+ |
+ |
+ |
+ |
+ |
+ |
| Combretaceae |
Conocarpus erectus |
+ |
+ |
+ |
+ |
+ | |
|
Laguncularia racemosa |
+ |
+ |
+ |
+ |
+ | ||
| Papilionaceae |
Dalbergia ecastaphyllum |
+ |
+ |
+ |
+ |
+ | |
|
Drepanocarpus lunatus |
+ |
+ |
+ |
+ |
+ |
+ | |
| Adiantaceae |
Acrostichum aureum |
+ |
+ |
+ |
+ |
+ |
+ |
| Gramineae |
Pennisetum purpureum |
+ |
+ | ||||
|
Setaria sphaecelata |
+ | ||||||
|
Hyparrhenia rufa |
+ | ||||||
| Palmaceae |
Nypa fructican |
+ |
+ | ||||
| Raphia vinifra |
+ |
+ | |||||
| Raphia hookeri |
+ |
+ |
+ | ||||
| Mimosaseae |
Albizzia sp |
+ |
+ | ||||
| Loganiaceae |
Anthocleista liebretchsiana |
+ | |||||
| A. vogelii |
+ | ||||||
| Poaceae |
Paspalum distichum |
+ |
|||||
|
Paspalum vaginatum |
+ |
+ |
+ |
+ |
+ |
||
| Panicum repens |
|||||||
|
Echinochloa pyramidalis |
|||||||
|
Phylanthus muellerianus |
+ |
||||||
| Arecaceae |
Phoenix reclinata |
+ |
+ |
+ |
|||
| Ficoidaceae |
Sesuvium pertulacastrum |
+ |
+ |
+ |
|||
| Malvaceae |
Hibiscus tiliaceae |
+ |
+ |
+ |
|||
| Convolvulaceae |
Ipomea pes-caprae |
+ |
+ |
||||
|
I. brasilensis |
+ |
||||||
|
I. aquatica |
|||||||
|
I. stolonifera |
|||||||
| Portederiaceae |
Eichhornia crassipes |
+ |
+ |
+ | |||
| Pandanaceae |
Pandanus candelabrum |
+ |
+ |
||||
| Cyperaceae |
Cyperus articulatus |
+ |
+ |
+ |
+ | ||
|
Eleocharis variegata |
+ |
+ |
|||||
|
Scleria vogelii |
+ |
||||||
| Moraceae |
Ficus ovata |
+ |
|||||
|
Ficus congensis |
+ |
+ |
|||||
| Ficus sp |
+ | ||||||
| Typhaceae |
Typha latifolia |
+ |
|||||
| T. australis |
+ |
+ |
Sources: Cote d’ivoire:1 Egnankwou, W. N.(1993),Sankare, Y. (1998). Ghana:2 Sackey E. L. et al (1993), Adomako, J. (1998). Togo:3Akpangana, K. et al (1993) Akpagana, K. (1998). Benin - 4 Hoachimou, I (1993), Akoegninou, A. (1998). Nigeria:5Isebor, C. E. et al (1993), Isebor, C. (1998)
Cameroon:6 Zogning, A (1993), Nganje M (1998)
2.42 Flora and Fauna of the Coastal Zone
Forest resources of the tropical coast of some states provide an important source of fuel wood, medicinal plants, food and timber for coastal inhabitants (Galega, thematic review). A number of mangrove species, particularly Rhizophora sp, Conocarpus sp, Avicennia sp, Mitragyna inermis, Laguncularia sp, occur almost everywhere along the western African coast and are dominant in certain places such as the Niger Delta. Mangrove forests provide the nutritional inputs to adjacent shallow channel and bay systems that constitute the primary habitat, spawning and breeding grounds for many aquatic species of commercial importance.
Mangroves of the GCLME are a particularly important resource for coastal communities. They are used for firewood, fish smoking, building materials, salt production, oyster culture, fisheries and medicinal purposes. Unfortunately, overuse and, to a lesser extent, pollution, urbanisation and industrial growth have led to reduction of mangroves in the GCLME area.
Beside the rich flora, there is a diverse array of associated fauna including molluscs and crustaceans, small mammals such as statungas, otters, Atilax paludinosus, Dasymys incomtus and large mammals such as Cephalophus sp. Molluscs found in this habitat include Crassostrea gasar (clams), Arca senilis (volutes), Cymbium pepo, cones, cowries and conches. These molluscs form an important basis for fish and bird food chains as well as being a major food source for humans. Mangroves also harbour some species of crocodiles and the endangered West African manatee Trichechus senegalensis.
The Gulf of Guinea is embodied in the West African flyway which is the major annual bird migration routes between breeding and wintering areas, including stop over areas in between. Most of the coastal wetlands in the Region provide unique ecological conditions and habitats for migratory birds. Many of the migrant birds come from Europe.
Among the marine and seashore birds found in the Gulf of Guinea are: Common Ringed Plover (Charadrius hiaticula), Knot (Calidris canutus), Curlew Sandpiper (Calidris ferruginea), Bar-tailed God wit (Limosa lapponica), Cattle Egret (Bubulcus ibis) and the white-winged Tern (Chlidonias leucopterus). Also, a number of seabirds breed in the area between Guinea Bissau and Angola. This includes the gull-billed Tern (Gelochelidon nilotica), the Royal Tern (Sterna maxima albididorsalis) the White-tailed Tropicbird (Phaeton lepturus) and the Brown Booby (Sula leucogaster). It is estimated that the area between Sierra Leone and Ghana holds about 700,000 waders in winter (Smit and Piersma, 1992). A conservative estimate puts the corresponding number between Ghana and Angola at about 300,000 birds.
Main threats to the survival of both endemic and migrant birds in the Gulf of Guinea include habitat loss due to urbanization, agricultural activities and pollution from activities connected with the oil industry. Unfortunately, some of the countries in the region (e.g. Nigeria and Cameroon) are not parties to the Convention on the Wetlands of International Importance especially as Waterfowl Habitat (Ramsar Convention of 1971). Ramsar sites are delineated, protected, studied and managed.
2.5. Fish and Fisheries:
The rich living marine resources of the GCLME are providing livelihood and employment for thousands of fishers and foreign exchange for the countries thus providing food security for the countries in the region. The wealth of estuaries, deltas, coastal lagoons and the nutrient rich upwellings cold waters make a major contribution to the diversity of fish life in the GCLME region with an estimated 239 fish species.
The fisheries in the region are characterized by the dominance of small pelagics, especially sardine and other clupeids that account for nearly 50% of total catches. The small pelagic species include (round sardinella (Sardinella aurita, Clupeidae), flat sardinella (Sardinella maderensis, Clupeidae), chub mackerel (Scomber japonicus, Scombridae) and anchovy (Engraulis encrasicolus, Engraulidae)) and large pelagic species of the family Thunnidae. Exploited coastal demersal species include those of the families Sparidae, Sciaenidae, Lutjanidae and Penaeidae. The fishery resources are exploited by both artisanal and industrial fishing fleets, the latter of which is made up of both local and foreign flag vessels. Generally, over 60% of national fish landings in the sub-region is made by artisanal fishers. The industrial fishing fleets in the region are made up of mainly trawlers, purse seiners, shrimpers and tuna fishing vessels. With the exception of the tuna fishing fleet, all vessels operate in about the same area, targeting similar species. This generates a considerable amount of conflict among the fleets, especially between the artisanal and the trawler fleets.
Table 6. Food Balance Sheet of Fish and Fishery Products in Live Weight and Fish Contribution to Protein Supply (1995-2000 AVG)
| YEAR |
PRODUCTION |
NON-FOOD USES |
IMPORTS |
EXPORTS |
TOTAL FOOD SUPPLY |
POPULATION |
PER CAPUT SUPPLY |
|
(tonnes in live weight) |
(thousand) |
(kilogram) | |||||
| Benin |
40,873 |
0 |
8,333 |
682 |
48,524 |
5,880 |
8.3 |
| Cameroon |
103,968 |
0 |
72,586 |
1,192 |
175,362 |
14,075 |
12,5 |
|
Congo Dem. Rep. |
180,311 |
0 |
113,439 |
87 |
293,662 |
47,859 |
6.1 |
| Congo Rep. |
44,723 |
0 |
17,709 |
645 |
61,791 |
2,807 |
22.0 |
| Cote d’Ivoire |
74,369 |
35,200 |
267,694 |
117,201 |
189,661 |
15,201 |
12.5 |
| Gabon |
47,298 |
0 |
9,685 |
2,028 |
54,987 |
1,154 |
47.7 |
| Ghana |
444,576 |
0 |
158,389 |
70,059 |
532,905 |
18,300 |
29.1 |
| Guinea |
73,710 |
0 |
22,969 |
8,340 |
88,339 |
7,772 |
11.4 |
| Nigeria |
427,291 |
7 |
503,494 |
3,717 |
927,061 |
106,487 |
8.7 |
| Sierra Leone |
67,030 |
0 |
2,502 |
12,059 |
57,497 |
4,194 |
13.7 |
| Togo |
17,297 |
0 |
43,545 |
3,794 |
57,053 |
4,177 |
13.7 |
|
NOTES: Production, trade and supply data refer to fish, crustaceans and molluscs, including all aquatic organisms except whales and seaweeds. Information on changes in stocks is available for a limited number of countries only. In view of possible distortions in each components of the commodity balances (i.e. in data for catch, trade and population) as well as in coefficients used to convert product weight to live weight equivalent, per caput consumption data should be regarded as giving only an order of magnitude indication of consumption levels. Comparision with data for previous periods published in earlier FAO Yearbooks may not therefore give a valid indication of real changes in consumption | |||||||
Source: CIFA 2002: Working Paper 12 for CIFA 12 Session (CIFA= Committee for Inland Fisheries of Africa)
Between 1986 and 1998, the annual catch of both marine and inland species by local fleets of all 16 countries in the GCLME area ranged between 1.147and 1.462 million metric tons (Table 5; Figure 3; FAO, 2000). Marine fish catch was between 694,000 and 864,000 metric tons (Table 3). The figures show increasing trend in fish catches with occasional decline. Fishery products exported out of the sub-region over the period was between 40,000 and 103,000 metric tons representing 2.6 – 7.1 % of the total production and worth between 45 and 173 million US dollars (FAO, ibid.). This percentage is higher if only fish caught in marine waters are considered. At the same time, the countries of the sub-region also imported 611,000 – 952,000 metric tons of fish (mainly pelagic species) worth between 376 and 595 million US dollars (FAO, ibid.). The export and import quantities are depicted in Figure 4. Description of export destinations and sources of imports are summarised in Table 6. The table shows that any possible contamination of fishery products in the Guinea Current system is sure to be a transboundary issue with the effects reaching Europe, America and other parts of Africa. It is important to note also that in an area endowed with rich fishery resources, the countries are net importers of fish. In addition, the countries also import large quantities of canned fish and fish products.
The most significant changes in the abundance of fish species in the Gulf of Guinea are fluctuations in sardinella species, dramatic increase in the abundance of triggerfish (Balistes capriscus) between 1973 and 1988 and the decline of the species since 1989. This has been described as one of the most phenomenal episodes in the history of fish population dynamics. In the survey conducted under the GOG-LME pilot project (Tables), the bivalve species (Chlamys opercularis, Pectinidae) was caught in such large quantities never before recorded in the Gulf of Guinea. It has been suggested that the bivalve species may have been introduced into the Region through ballast water.
![]() |
Figure 6: Total Fish production in home waters by countries in the GCLME Region
Catch per Unit Effort (CPUE) is exceeding sustainable yields in some countries (Ajayi, 1994) while species diversity and average body total lengths of the most important fish assemblages have declined. Changes in biodiversity of species in the Gulf of Guinea have been attributed to both natural (intensification of the minor upwelling, and water temperature changes), increase in salinity of shelf waters (Binet 1995) and changes in meteorological and other oceanographic conditions (reduction of rainfall, acceleration of winds and alteration of current patterns, Binet 1995) and changes in nearshore biophysical processes. Environmental changes manifesting a periodic variability in coastal upwelling intensities are also playing a role in coastal pelagic fish abundance fluctuations.
Table 7: Mean catch rate (kg/hr) and percentage contribution at indicated depth ranges, F.T. Susainah survey, 1999
0 – 20 m| Group |
Cote d’Ivoire |
Ghana |
Togo-Benin |
Nigeria |
Cameroon |
| Fish |
132.75 |
22.00 |
80.09 |
140.37 |
108.81 |
| Crustaceans |
3.78 |
0.01 |
10.53 |
16.86 |
16.54 |
| Molluscs |
8.08 |
134.73 |
4.53 |
0.96 |
1.28 |
| Total |
144.60 |
156.74 |
95.16 |
158.18 |
126.62 |
| Group |
Cote d’Ivoire |
Ghana |
Togo-Benin |
Nigeria |
Cameroon |
| Fish |
162.45 |
52.93 |
82.61 |
153.66 |
58.15 |
|
Crustaceans |
3.85 |
2.56 |
0.08 |
18.92 |
11.37 |
| Molluscs |
7.30 |
95.68 |
13.50 |
5.68 |
2.71 |
| Total |
173.60 |
151.16 |
96.18 |
178.26 |
72.23 |
| Group |
Cote d’Ivoire |
Ghana |
Togo-Benin |
Nigeria |
Cameroon |
|
Fish |
273.40 |
234.81 |
58.90 |
141.15 |
35.60 |
|
Crustaceans |
1.34 |
0.49 |
0.63 |
9.60 |
8.30 |
|
Molluscs |
8.10 |
8.86 |
5.10 |
19.12 |
2.33 |
|
Total |
282.84 |
244.16 |
64.63 |
169.87 |
46.23 |
Table 8 : Mean catch rate (kg/hr) and percentage composition (all species included)
|
Depth (m) |
C. Ivoire |
Ghana |
Togo - Benin |
Nigeria |
Cameroon | |||||
|
weight |
% |
weight |
% |
weight |
% |
weight |
% |
weight |
% | |
|
0 - 20 |
144.6 |
24.1 |
156.7 |
28.4 |
95.2 |
37.2 |
158.2 |
31.2 |
126.6 |
51.7 |
|
21 - 40 |
173.6 |
28.9 |
151.2 |
27.4 |
96.2 |
37.6 |
178.3 |
35.2 |
72.2 |
29.5 |
|
41 - 60 |
282.8 |
47.1 |
244.2 |
44.2 |
64.6 |
25.3 |
169.9 |
33.6 |
46.2 |
18.9 |
|
Total |
601.0 |
100.0 |
552.1 |
100.0 |
256.0 |
100.0 |
506.3 |
100.0 |
245.1 |
100.0 |
Fishing in coastal lagoons, estuaries and creeks is an important economic activity in the Region. The fishery is mainly artisanal but rather complex in terms of fishing gears and methods used. The most popular fishing gears and methods found are: Castnet, seine (or drag) nets, various traps, acadja (or brush park fishing), hand fishing, hook and line, and trawl nets (Koranteng et. al 1998). The dragnets disturb benthic organisms in the lagoons and have adverse effect on the functioning of the lagoon ecosystem. The black-chin tilapia (Sarotherodon melanotheron) is the most dominant species, however, some other freshwater fishes (e.g. Tilapia zillii, Clarias spp) and marine fishes (e.g. Ethmalosa fimbriata, Scyacium micrurum (sole), Liza falcipinnis (mullets) are caught in the lagoons. Some marine species like Lutjanus fulgens (snapper), Caranx hippos, and Epinephelus aeneus (groupers) also make short incursion into the lagoon. In Equatorial Guinea, the artisanal fishery caught an annual 1500 tons (FAO 1970) or 2000 tons (Lagoin and Salmon 1967a) prior to the 1970. Catch levels in the 1980s were closer to 1000 tons. In Sao Tome and Principe, artisanal fish catch is of the order of 1800 tons in 1967 and 1500 tons in 1979 (SCET 1980c) consisting mainly of pelagics. Van der Knaap (1985) estimated that the total maximum potential yield of the inshore artisanal fisheries of Nigeria to be 100,000 tons on the basis of comparative figures from similar neighbouring and higly productive coastal systems. The Table….. below summarizes the trawling surveys carried out in Nigerian and Cameroonian waters (Vander Knaap, 1985
Pollution from land-based sources, agrochemicals and the use of harmful fishing methods have been identified as factors that adversely affect fishery resources in coastal lagoons and estuaries. Throughout West Africa, utilization and management of fishery resources in coastal lagoons and estuaries are linked to taboos and other cultural practices (Koranteng, et al., 1998; Entsua-Mensah et al. 1999).
2.52 Commercial/Industrial Fisheries
The rich fishery resources of the region are both locally important resident stocks supporting artisanal fisheries, and transboundary straddling and migratory stocks that have attracted large commercial offshore foreign fishing fleets from the European Union, Eastern Europe, Korea and Japan. In Cameroon for instance, the demersal fish and shrimp stocks have been exploited since 1951 by the industrial fleet whose number increased from 1 in 1951 to 39 in 1979 (Laure, 1969, 1972; FAO 1987). In Nigeria, the number of inshore trawlers increased from 13 in 1971 to 29 in 1976 and 52 in 1983 (FAO, 1987). The 1976 survey performed by FAO/USSR vessel FIOLENT estimated the commercial demersal fish stocks for the surveyed area off the coast of Nigeria to be 28,600 tons (Roberston 1977). FAO (1996) has estimated the total potential fisheries yield of the entire region as 7.8 million tonnes per year. However, the unrestricted activities of global industrialized fisheries are encroaching on the artisanal fisheries of the GCLME, placing at risk food security and economic returns from fisheries for the people of the region (UNIDO, 2002). FAO (1987) data shows that in Cameroon, total fresh fish landings of the industrial fleet in the period 1970-1982 fluctuated between 15,736 tons (1974); 20,397 tons (1976); 14,230 tons (1983) and 12,457 tons (1984). Shrimp landings increased from 942 tons (1970) to 2360 tons (1972), and then decreased again to 1696 tons in 1975. Catches went up to 2438 tons in 1977 and dropped dramatically to 268 tons in 1980 to increase again to 859 tons in 1987.
In recognition of the growing need for restoration of damaged LMEs around the world including the GCLME, the recently concluded World Summit on Sustainable Development (WSSD) adopted goals and targets relative to the GCLME. The Summit agreed to 2015 as a target date for the restoration of depleted fish stocks. The Summit also endorsed movement toward the ecosystems approach to the assessment and management of natural resources.
![]()

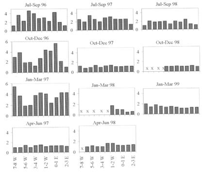
Figure 7: Evolution of trawling effort in the Ghanaian demersal fisheries, by K.A. Koranteng, 2002. Status of Demersal Fishery Resources on the Inner Continental Shelf off Ghana. In: J.McGlade, K. Koranteng and P. Cury, 2002. Gulf of Guinea Fishery Resources: Ecosystem Forcing and Sustainable Management.
![]()
2.53 Turtles and Marine Mammals
Four of the seven remaining species of marine turtles in the world may be found in the Gulf of Guinea where they lay their eggs at selected places along the shores. These are the Atlantic Green (Eretmochelys imbricata), the Leatherback (Dermochelys coriacea), the Hawksbill (Eretmochelys imbricata), and the Olive Ridley (Lepidochelys olivacea). Green turtles are classified as endangered and Hawksbill turtles are classified as critically endangered (WCMC, 1996). Despite international initiatives to protect these endangered
species, marine turtles are still secretly hunted for food throughout the Gulf of Guinea. Their eggs are also collected by humans and also destroyed by dogs and pigs on the beach.
In some shrimp fisheries in the sub-region (e.g. in Nigeria), introduction of the turtle excluder device (TED) is being considered. This device allows turtles to escape from shrimp nets when caught.
Marine mammals that inhabit the waters of the Gulf of Guinea are mainly cetaceans (whales and dolphins) and sirenians (manatees). Of special importance are the Atlantic Humpbacked dolphin (Sousa teuszii) and the African manatee (Trichecus senegalensis). Both species appear on the IUCN Red List of endangered species; the African manatee is classified as vulnerable and the humpbacked dolphin is classified as highly endangered under CITES (Donoghue and Wheeler, 1994; WCMC, 1996). At the end of summer, toothed, fin and humpback whales migrate to the waters of the Gulf of Guinea from Antarctica (Jefferson et al., 1983; Elder and Pernetta, 1991).
Table 8: Status of marine turtles in the Guinea Current LME according to IUCN Red List Classification
|
Species |
Common Name |
IUCN Red List Classification |
| Chelonia mydas |
Green turtle |
Critically endangered |
|
Caretta caretta |
Loggerhead turtle |
Endangered |
|
Eretmochelys imbricata |
Hawsbill turtle |
Critically Endangered |
|
Lepidochelys olivacea |
Olive Ridley turtle |
Endangered |
|
Dermochelys coriacea |
Leatherback turtle |
Endangered |
(Source: WCMC, 1996)
3.0 SOCIO-ECONOMIC AND DEVELOPMENT SETTING
3.1 Human Development and Demography
The GCLME region, of high ethno-cultural and social diversity, is endowed with abundant renewable and non renewable resources. The considerable natural resources of this region have not been optimally utilized for the enhancement of the quality of life of the people (Osuntogun, thematic review). According to the author, poverty, paucity of social infrastructure, disease and social instability are the major characteristics of this richly endowed region. Approximately 40% of the GCLME region’s 280 million people live in the coastal areas and are dependent on the lagoons, estuaries, creeks and associated wetlands and inshore waters surrounding them. The highest population density centres are located in some key cities along the coast, such as Accra-Tema, Abidjan, Douala, Lagos and Port Harcourt, and Luanda. Rapid expansion of coastal populations and high population concentrations have resulted from high population growth rate and migratory movements between rural and urban areas (UNEP, 1999).
The population of the coastal areas is increasing dramatically with a potential double time of 20-25 years at the present population growth rate of about 3% compared to 100 years of the developed countries.. At the country level too, there has been substantial population increase in the coastal cities and towns as a result of urbanisation to the industrial cities, and growth of fishing villages and landing sites. The population in the major metropolitan cities are estimated at 2 million in metropolitan Abidjan, Côte d'Ivoire; 1,6 million in Accra, Ghana; 8 million in Lagos, Nigeria; and 1,4 million in Doula, Cameroon (Table 9). If developments are not planned and diversified, it is estimated that these coastal cities may grow at very alarming rates of about 5%. The rapid population growth in the coastal zone has resulted in pollution of social values and culture, socio-economic dislocation and conflicts in addition to the serious degradation of the environment. Like the rest of the world, many of the regions poor are crowded in the coastal areas for subsistence socio-economic activities, essentially fishing, farming that is largely agro-chemical-based; sand winning in the beaches, salt mining in the salt marshes , and production of charcoal in the mangrove areas. In addition, over 60% of the existing industries in the sub-region are also concentrated in the coastal cities. These industrial areas are cited in zones which are predominantly created in major river catchments that drains into coastal wetlands especially mangroves, lagoons and estuaries.
In the metropolitan and urban areas, social problems include inadequate housing facilities, poor state of educational and health facilities, poor public hygiene, high crime rate resulting from high level of unemployment and poverty, especially among the youths. In the rural setting, inadequate educational facilities, poor health and public utilities, and poor quality of housing constitute major problems (Osuntogun, ibid.). Because of political instability in many countries of the region, it has been difficult to create the institutional setting necessary for environmental management of the Gulf of Guinea generally. However, many of the states of the Gulf of Guinea are engaged in a number of regional initiatives.
3.2 Tourism
Tourism constitutes an important industry in many West African coastal countries (including Côte d’Ivoire, the Gambia, Ghana, Guinea and Guinea-Bissau). Tourism has had a severe impact along he coast from Dakar to Douala. The construction of hotels and other recreational facilities located directly on the shoreline has been responsible for he clearing of coastal vegetation, the filling of wetlands and the increasing load of sewage and solid waste in coastal waters.
The demand for high quality fishery products and ornamental species have contributed to the overexploitation of lagoon and coastal resources. Degradation of the environment from marine debris is also attributed in part to the tourism industry.
3.3 Governance and Poverty
Poverty reduction strategies are increasingly the vogue within the international communities. The various country Poverty Reduction Strategies Papers (PRSP) facilitated by the World Bank shows clearly that in spite of improvements in economic growth over the years, poverty has been on the increase in most of the countries of the GCLME. For instance, as many as 67 million Nigerians live below the poverty line. The incidence of poverty in Nigeria increased from 27.2 percent in 1980 to 46.3 percent in 1985 and 65.5 percent in 1996. The impact of the above is that the Human Development Index (HDI) for Nigeria has remained low (0.391 in 1998, and 0.439 in 2000 putting the country at the 151st position among 174 countries).
Poverty persists in the region mainly because of a host of factors including inadequate access to the means for supporting rural development destruction of natural resources and massive corruption of the public sector. There are major linkages between environment and poverty which threaten the health, vulnerability and livelihood security of the poor. As a result, life expectancy is still about 53 years, the indicators of childhood survival: infant mortality rate (IMR) of 91 and under five mortality rate (U5MR) of 191 deaths per 1000 births respectively are caused by preventable diseases. Lack of proper prevention leads to high incidence of sexually transmitted diseases. In 1997, Nigeria had 2,200,000 people living with HIV/AIDS which is 4.12 percent of the population.
The environment-poverty linkages are indeed widespread and include forest destruction, land degradation, desertification, biodiversity loss, tropical storms, drought, pollution, erosion, flooding, windstorms, landslides and climate change impacts. Other issues of importance include cross-sectors issues such as tears over losing control of the process of governance because of prolonged military rule, ethnic conflicts over resource control and religious differences and the marginalization of women.
3.4 Physical Activities in the Coastal Zone of the GCLME
Even though the level of industrial development is still low in West and Central Africa, the rate of industrialization is increasing along the coastal areas. About 60 per cent of the industries in countries bordering the Gulf of Guinea are located in coastal cities (UNDP/GEF, 1993). Industries range from textile, leather, food and beverage processing to oil and gas and mineral exploitation. These industries discharge untreated effluents directly into coastal waters or into rivers and streams that eventually empty into the coastal waters. This practice impacts negatively on the coastal ecosystem and has resulted in the deterioration of some coastal lagoons (e.g. Korle and Chemu lagoons in Ghana).
Agriculture is important to all countries in the region, both at subsistence and commercial level. A number of rural and agricultural practices impact on the marine and coastal environment. The use of chemical fertilisers and pesticides has markedly increased with the development of commercial agriculture and the need to improve food production and protect human health against insect-borne diseases.
3.43 Oil and Gas
Nigeria is the largest oil producing country in the region; Cameroon and Gabon are also important oil producing countries. Most of Nigeria’s oil is produced from the Niger Delta where Shell Petroleum Development Company’s (SPDC) joint venture operations cover over 90 oil fields, about 6,200 km of flowlines and pipelines spread over 30,000 km2 of the Delta (Shell,1998). SPDC is the operator of a joint venture on behalf of Nigerian National Petroleum Corporation (NNPC), Shell, Elf and Agip and produces over one million barrels of crude oil a day. Spilling an average of about 7500 barrels of oil a year, SPDC is often accused of causing environmental degradation in the Niger Delta.
Cameroon also produces about 6.25 million tons of crude oil per annum from the Rio Del Rey Basin in the Niger Delta. Although huge reserves of natural gas have been discovered in the region, especially on the eastern side, there has not been any systematic exploration of this natural resource. It is expected that the West African Gas Pipeline project (between Nigeria, Benin, Togo and Ghana) will probably change this situation. However, the ecological impact of the gas pipeline project is yet to be assessed.
About 30 per cent of the oil refineries in West and Central Africa are located in the coastal area. Effluents from these eventually end up in coastal waters.
3.44 Salt production
Salt production is an important industry in the Gulf of Guinea, especially in the area between Côte d’Ivoire and Benin. Large quantities of salt are produced around coastal lagoons. In Ghana, for example, large scale commercial salt winning is an important economic activity in coastal wetlands. Vast areas of mangroves are cleared to make way for saltpans. This activity has been identified as one of the factors threatening the mangrove ecosystem in the Region.
The salt that is produced in the coastal area is exported to other areas in the Region as well as areas far from it, e.g. in the Sahelian countries.
3.45. Sand Extraction
Direct removal of sand from beaches for the construction industry is a common practice in the sub-region even though this is illegal in some countries (e.g. Ghana). Sand winning aggravates coastal erosion problems.
4.0 POLICY, LEGAL, REGULATORY AND INSTITUTIONAL SETTING
The context of the GCLME region is defined dominantly by the existence of the Abidjan Convention for Co-operation in the Protection, Management and Development of the Marine and Coastal Environment of the West and Central African Region adopted in March 1981. The Abidjan Convention 1981 and its Protocol on Cooperation in Combating Pollution in Cases of Emergency constitute the legal components of the West and Central African (WACAF) Action Plan. The Convention expresses the decision of the WACAF Region (from Mauritania to Angola at the time of adoption) to deal individually and jointly with common marine and coastal environmental problems. The Convention also provides an important framework through which national policy makers and resource managers can implement national control measures in the protection and development of the marine and coastal environment of the WACAF Region. The Emergency Protocol was designed with an orientation towards combating and operationally responding to massive pollution in case of marine accidental oil and chemical spills.
At its first meeting (Abidjan, 20-22 July, 1981), the newly constituted Steering Committee of the Convention defined the following priorities :
· Development of oil spill contingency plans
· Combating coastal erosion
· Prevention, monitoring and control of marine pollution
· Rational development of coastal zones
· Capacity building particularly in the areas of documentation and legislation on coastal and marine management.
Since its entry into force in August, 1984, Parties to the Abidjan Convention have, with UNEP's assistance, undertaken a number of activities including :
· development of programmes for marine pollution prevention, monitoring and control in cooperation with IMO, FAO, UNIDO, IOC-UNESCO, WHO, IAEA, etc.
· development of programmes for monitoring, controlling and combating coastal erosion dominantly with UNESCO and UNDESA.
· development of national environmental impact assessment programmes for particular coastal sites
· development of national environmental legislation in cooperation with FAO and IMO.
As originally envisaged in the provisions of the Convention, the WACAF Regional Coordination Unit, was to co-ordinate the implementation of the West and Central African Action Plan and was to ensure the most efficient use of the regional sea through concerted actions by Member States and the optimal utilisation of their shared living resources. It was to co-ordinate regional (as opposed to national) development of the coastal and marine environment and to assist in the prevention and resolution of disputes that might arise between and among the Parties to the Convention. However, lack of resources for the Regional Coordination Unit (RCU) has adversely affected the implementation of the above mentioned projects.
Most of the countries of the region have also ratified several international and regional Conventions relating to the coastal and marine environment such as the International Convention on Civil Liability for Oil Pollution and MARPOL 73/78 (Alo, thematic review) (see Table 10 for full listing of the pertinent Conventions).
There is an encouraging history of co-operation between the countries bordering the GCLME even if the results, outputs and impacts have been variable. Examples of collaborative activities under the Abidjan Convention include "Control of Coastal Erosion in West and Central Africa (WACAF/3)", "Manual on Methodologies for Monitoring Coastal Erosion in West and Central Africa (WACAF/6)", "Assessment and Control of Pollution in the Coastal and Marine Environment of West and Central Africa (WACAF/2 phases I and II)", and WACAF/11 on " Integrated Watersheds and Coastal Area Management Planning and Development in West and Central African Region". The countries in the GCLME sub-region also participated in the continent wide but far from successful UNDP/UNESCO Regional Project (RAF/87/038) on Training and Research for the Integrated Development of African Coastal Systems (COMARAF) and have experience of joint programming in the context of the Fishery Committee for the Eastern Central Atlantic (CECAF) under the aegis of FAO which has been trying to promote joint actions on living resource evaluation and fishery statistics
At the recent World Summit on Sustainable Development (WSSD), the governments recognised that over-fishing and the subsequent declining returns from the fisheries sector are greatly reinforcing the cycles of coastal poverty for millions of rural fishing communities around the world especially in sub-Saharan Africa, while at the same time threatening the marine biodiversity and coastal ecosystems that support fisheries. For this reason, the World Summit on Sustainable Development (WSSD) felt over-fishing represented a serious crisis meriting a concerted effort by the international community over the next 10 to 12 years, to restore the world’s fisheries to health by the year 2015 (including the coastal ecosystems that support these fisheries). Some of the specific actions that participating governments, including the countries of the GCLME region, agreed to undertake are:
· Maintaining or restoring fish stocks to levels that can produce the maximum sustainable yield by 2015;
· Assisting developing countries in coordinating policies and programs aimed at the conservation and sustainable management of fishery resources;
· Strengthening donor coordination and partnerships between international financial institutions, bilateral agencies and other relevant stakeholders to enable developing countries to develop their capacity for sustainable use of fisheries;
· Establishing representative networks of marine protected areas, consistent with international law and based on scientific information; and
· Developing national, regional and international programs for halting the loss of marine biodiversity, particularly in coral reefs and wetlands.
The activities and programmes including agreed targets and action plans have created a new awareness of mostly domestic issues and regional problems and engendered a certain sense of urgency on fisheries depletion and environmental matters. However, their overall impact has been impaired by a lack of success in focusing on transboundary ecosystem-wide International Waters problems and the need to strengthen environmental and resource stewardship at both national and regional levels. This has been exacerbated by the absence of a mechanism for funding incremental costs in the existing Regional Seas Programmes, and a lack of resources for a co-ordination Secretariat. A proposed strategy for revitalising both the Abidjan and Nairobi Conventions exists and was embodied in the GEF funded Medium Sized Project implemented by Advisory Committee for the Protection of the Seas (ACOPS) and which ended with a "Partnership Conference" in September 2002 on the sidelines of the World Summit on Sustainable Development (Rio + 10 Conference) in South Africa.
5.0. MAJOR PERCEIVED ENVIRONMENTAL PROBLEMS AND ISSUES
The State of Coastal and Marine Environment of the Gulf of Guinea report (UNIDO/UNDP/NOAA/UNEP 1998), the Coastal Areas Profiles of the six GOG LME coastal states, the National Reports of the sixteen countries and the Regional Synthesis report summarises some of the studies that have been conducted in the coastal and marine environment of the GCLME. The various studies indicate alarming rates of decline of fisheries resources and significant levels of pollution regarding pathogens and micro-organisms in sewage, industrial effluents with high organic loading and hazardous chemicals, heavy metals, oils and hydrocarbons, tar balls in beaches; as well as serious problems of coastal erosion and coastal areas management. Other studies have also concentrated on weeds, water hyacinth and algal bloom. Similarly, studies have also been conducted on marine fisheries resources of the Guinea Current region by CECAF, FAO, FRU-ORSTOM. Marine environmental and pollution monitoring programme have also been carried out by WACAF in collaboration with UNEP/FAO/WHO/IAEA. A review of status of marine fisheries resources in 1994 indicates that apart from off-shore demersal resources, all other fisheries in the sub-region are near to full or fully exploited (T.O. Ajayi, 1995). This has resulted in loss of food security and increased conflicts between commercial (industrial) and artisanal (community-based) fisheries.
In summary, it is recognised that the coastal and the marine ecosystem of the GCLME and it's resources have witnessed various environmental stresses as a result of the increasing socio-economic and unsustainable developmental activities. All the above studies and assessments have identified three broad coastal and marine environmental problems and issues in the GCLME region namely:
· Fishery resources depletion and the loss of marine biodiversity
· The decline of water quality, due to land-based and sea-based human activities, such as the introduction of sewage and waste water from industrial, domestic and agricultural run off, maritime activities as well as coastal urbanization; and
· Physical degradation, alteration and modification of habitats/ecosystems and coastal erosion.
The socio-economic and cultural implications from the above broad issues can be tremendous in terms of income reduction arising from a loss of fisheries stocks and catches, recreation and tourism amenities, increase of water treatment and coastal protection costs. Because of the paucity of reliable, detailed and historic scientific data on coastal, marine and freshwater environment in the GCLME region, a certain degree of uncertainty still prevails in assessing the pollution load in general. There is an urgent need for a precise qualitative and quantitative assessment of the significant sources of land-based pollution as well as comprehensive assessments of the state of the fisheries resources and extent of ecosystem degradation (including status and trends analysis) in the region.
Generally, environmental stress from Land-based sources and activities are globally considered to contribute about 70% of the coastal and marine pollution, while maritime transport and dumping at-sea activities contribute about 10% each. The stresses arising as a result of interactive human developments and consequential increases in harmful impacts on the environment and natural resources of the GCLME were identified. A detailed listing of all the environmental problems and issues contributing to the degradation of the GCLME is given below:
i. Large-scale changes in the abundance levels of the resident fish stocks near shore and the conditions affecting the sustainability of the straddling (shared) and highly migratory fisheries of the region, both of which have food security and economic implications to the 280 million people of the region;
ii. Depletion of fisheries resources due to excessive and unsustainable harvesting of fisheries resources;
iii. Lack of prediction of natural fluctuations leading to sub-optimal fishing effort;
iv. Apparent increase in the frequency and extent of coastal erosion placing fisheries and other coastal communities in danger from loss of roadway and habitable lands;
v. The physical destruction of coastal habitats including wetlands, mangroves, and the loss of spawning and nursery grounds for living resources and the loss of the rich and varied fauna and flora of the region including some rare and endangered species;
vi. Uncontrolled and haphazard urbanization of coastal areas across the region that result in use conflicts and impose great stresses on environment and resources;
vii. Harbour construction activities that generally alter longshore current transport of sediments and in many cases have led to major coastal erosion and siltation problems;
viii. Large amounts of sediments emptied by the many large rivers in this region that are important sources of nutrients and suspended matter to the coastal and marine environment contributing to eutrophication and harmful algal blooms with serious implications to ecosystem and human health;
ix. Input of largely untreated sewage into the coastal environment impacting on health, tourism and fisheries. Sewage treatment facilities are very limited throughout the region and raw sewage is discharged both into coastal lagoons and the rivers flowing into them. This, combined with the limited tidal water exchange of lagoons, has led to widespread eutrophication;
x. Discharges of untreated or partially treated industrial wastes directly into coastal water bodies that contaminate marine life and pose serious threats to human life;
xi. Use of pesticides especially the organochlorine group of compounds in agriculture and human health protection results in an input of residues to the coastal environment that are harmful to living resources;
xii. Risks from petroleum pipeline development and accidental spills of petroleum products and operational discharges from shipping (e.g. ship wastes) and the accidental introduction of toxic chemicals and exotic species that seriously damage the receiving ecosystem, leading to food and habitat loss.
The major impacts which originates from individual coastal States, and are invariably transboundary in nature in the sub-region include :
· various States of depletion of straddling and highly migratory fisheries stock including over exploited, declining, slow recovering as result of over fishing and over exploitation.
· wastage through transfer of discard by-catch with consequent loss of marine resources, biodiversity and biomass
· phenomenal rates of erosion of coastal lines
· loss of critical habitats particularly mangroves and wetlands that sustain biological diversity and provide spawning and nursery grounds of migratory fauna of commercial importance and endangered species.
· haphazard and over unrestrained development of the coastal areas with incidence of erosion.
· toxic chemicals and oil spills as well as insidious pollution from oily and exotic biological species discharges from ship traffic,
· socio-economic implications including loss of revenue, food security concerns, resource use conflicts and increasing poverty.
The environmental and socio-economic impacts from Land-based sources of pollution in the sub-region is of transboundary nature as a result of the movement of the Guinea Currents from West to East, which transports pollutants along the coastal area from one country to another. For instance, the seasonal occurrence of algae bloom shoreline areas in the Western Region of Ghana, currently being studied is believed to originate in Cote d’Ivoire.
From the national reports, questionnaires and other published materials, the TDA Task Team, constituted under the GCLME PDF B, taking into consideration the GIWA methodology analysed all the identified perceived regional transboundary environmental problems and issues and grouped them under five areas namely:
· Decline in GCLME fish stocks and non-optional harvesting of living resources;
· Uncertainty regarding ecosystem status and yields in a highly variable environment including effects of global climate change;
· Deterioration in water quality (chronic and catastrophic) pollution from land and sea based activities, eutrophication and harmful algal blooms;
· Habitat destruction and alteration including inter-alia modification of seabed and coastal zone, degradation of coastscapes, coastline erosion;
· Loss of biotic (ecosystem) integrity (changes in community composition, vulnerable species and biodiversity, introduction of alien species, etc).
The root causes of most of the environmental and resource problems in the GCLME area has to do with inadequate policy, ineffective compliance monitoring and enforcement, lack of community support and lack of legislation.
It was quite apparent after the Regional Working Group and Stocktaking Workshops during the initial PDF B that an enormous amount of goodwill, information and ideas had been generated within the region relevant to the sustainable management of the Guinea Current ecosystem. This bodes well for the future and provides a strong foundation, not only to develop a really viable LME approach to the Guinea Current region, but also to provide a blueprint for how open system LMEs should be developed internationally. This contrasts the approaches for predominantly closed system LMEs such as the Black Sea that have been developed. In other words, sustainable integrated management of a highly variable open-boundary ecosystem.
Correcting decades of over-exploitation of resources and habitat degradation in the Guinea Current ecosystem and the fragmented and sectorally based management actions (the consequence of the colonial/political past and greed) will require a substantial co-ordinated effort during the next decade, to be followed by sustained action on a permanent basis. A task of this magnitude will require careful planning not only by the government agencies in the sixteen countries bordering the Guinea Current, but also by all the other stakeholders. There already exists the willingness on the part of the key players to collaborate to achieve this objective, but the real challenge will be to develop systems and structures that take cognisance of the naturally highly variable and potentially fragile nature of the GCLME and its coastal environments within the context of a changing society and world. The many issues and problems, as well as possible solutions, have been identified and prioritised in the Transboundary Diagnostic Analysis tables. The resolve of the governments of the sixteen countries to correct the wrongs of the past and move forward with a new vision to ensure that the GCLME can be sustainably utilized and enjoyed by future generations for the benefit of all would be embodied in the Strategic Action Plan, the elements of which together with the Environmental Quality Objectives, will be formulated during the implementation of the supplementary PDF B. The full Strategic Action Plan would be finalised and endorsed by all the countries during the full project phase. It would be much more than just a piece of paper: It is to be a pragmatic, workable framework and unambiguous statement of common goals and objectives and the means of their achievement. Success will depend on thorough implementation of the principles, commitments and actions to be embodied in the Plan, both explicit and implicit.
In order to accelerate SAP implementation, a portfolio of nine regional and national pilot demonstration projects addressing already identified priority transboundary concerns conforming to the five LME operational strategies/modules (productivity, fish and fisheries and other living resources, pollution and ecosystem health, socio-economics, and governance) would be implemented during the full project phase.
In the TDA synthesis and analysis tables a number of major transboundary problems in the GCLME have been identified. These include inter alia, non optimal harvesting of living resources, uncertainty regarding ecosystem status and yields in a highly variable environment, deterioration in water quality, habitat destruction and alteration, coastal erosion, loss of biotic integrity and threat to biodiversity, eutrophication and potentially harmful algal blooms, introduction of alien species and inadequate regional capacity (human and infrastructure). Over-arching generic actions which are needed to address these transboundary problems must focus on capacity strengthening and training, policy development and harmonisation, transfer of environmentally sound technologies and development/strengthening of regional collaboration or networking in respect of surveys and assessment of the ecosystem status. These actions are appropriate within the context of a GEF project and it is envisaged that the role of the GEF in the implementation phase of the GCLME Programme will take the form of institution building, strengthening capacity needed in the region to facilitate integrated management, and sharing the costs of the actions with the sixteen governments and donors. The GEF should be catalytic in helping to leverage sustainable (long term) funding and mobilise private sector funding. Through such a process it is anticipated that, following the conclusion of the GEF funded GCLME component, the necessary capacity and institutional structures and sustainable funding will be available in the region to ensure the on-going integrated management of the GCLME. Specific actions in which the GEF will play a role will include inter alia:
· development and implementation of joint fish stock assessments and management among the participating countries
· development of appropriate transboundary frameworks and mechanisms at regional, national and local levels for consultation, coordination and cooperation;
· development of institutional capacities of the key agencies and institutions in the region that contribute to the integrated sustainable management of the GCLME;
· effective ecosystem assessment and development of an early warning system for ecosystem change;
· actions to fill the gaps in our understanding of the GCLME, its functioning, and the factors which affect it (biophysical, social, economic and political);
· harmonization of policies and legislation relating to activities affecting GCLME;
· increased external support for activities to minimise and mitigate the negative impacts of development (mining, urbanisation, tourism development, resource exploitation) through the promotion of sustainable approaches and the use of appropriate tools;
· measures to improve sustainable resource management;
· measures to protect biological diversity and restore globally significant habitats including wetlands;
· measures to protect the coastlines from the incidence of coastal erosion;
· quantification of the impact of global climate change on the GCLME
This is seen as compatible with the three elements of the GEF-funded International Waters activities to meet incremental costs of:
1) assisting groups of countries better understand the environmental concerns of their international waters and work collaboratively to address them
2) building capacity of existing institutions, or through new institutional arrangements, to utilize a more comprehensive approach for addressing transboundary water-related environmental concerns, and
3) implementing sustainable measures that address priority transboundary environmental concerns.
Policies, structures and actions developed during the implementation phase of the GCLME Programme, i.e. over the next five years, must by the end of the period be self-sustainable in the region. To achieve this it is essential that mechanisms be in place to encourage, indeed ensure, a substantial degree of co-financing of activities. This can best be done by involving and developing partnerships with maritime and coastal industries, the international community and present and future beneficiaries, i.e. all those who have a stake in the long-term health, productivity and viability of the Guinea Current region as a LME.
The ultimate goal of the GC LME GEF Project like other LME approaches is to facilitate the development of a regional Strategic Action Plans (SAP) by the countries of the Guinea Current LME as indications of regional commitment to integrated management of GCLME coastal areas and marine ecosystem and sustainable use of it’s resources. The first step to the development of the Regional strategic Action Plan is the Transboundary Diagnostic Analysis (TDA).
A Transboundary Diagnostic Analysis is a scientific and technical assessment, through which the water-related environmental issues and problems of a region are identified and quantified, their causes analysed and their impacts, both environmental and economic, assessed. The analysis involves the identification of causes and impacts (and uncertainties associated with these) at national, regional and global levels, and the socio-economic, political and institutional context within which they occur. The identification of the causes should, where appropriate, specify sources, locations and sectors. The TDA assessment should indicate which elements are clearly transboundary in character and list and prioritise activities or solutions to address the issue/problem and the root causes.
Within the context of the TDA, transboundary environmental issues include inter alia:
· regional/national issues with transboundary causes/sources;
· transboundary issues with national causes/sources;
· national issues that are common to at least two of the countries and that require a common strategy and collective action to address;
· issues that have transboundary elements or implications (e.g. fishery practices on biodiversity/ecosystem resilience).
The main objective of a Transboundary Diagnostic Analysis (TDA) is to provide a scientific framework for national and regional policies and practical strategy actions for the preparation of a comprehensive Regional Strategy Action Plan by the countries, so as to provide then the opportunities to undertake national and regional approaches to protect and maintain the biological diversity and habitats which form an integrated whole as well as an essential component of the global life support system. This approach optimises the benefits from the use of the shared resources as opposed to alternatives that leads to resource depletion accompanying over exploitation for short-term profit.
The Guinea Current LME Regional Strategy Action Plan once developed and adopted by the participating countries for implementation would re-affirm the joint-commitments to regional co-operation under the tenets of Agenda 21, the Abidjan Convention, the GEF Operation Strategy, the Global Programme of Action on the Protection of Marine Environment from Land-Based Sources, the WSSD Plan of Implementation and the FAO Codes of Conduct for Responsible Fishing.
The objective of the Guinea Current TDA is to provide, on the basis of clearly established evidence, structured information relating to the degradation and changing state of the Guinea Current LME, to scale the relative importance of the causes and sources of the transboundary water-related problems, and to elucidate practical preventative and remedial actions to ensure the sustainable integrated management of this unique environment. The TDA would provide the technical basis for the development of a Strategic Action Plan (SAP), and the full Project Brief, for the GCLME within the International Waters Area of the GEF.
Comprehensive information about the status of the GCLME, the principal issues and problems, their causes and impacts, generated at the Regional GCLME Working Group and Stocktaking Workshop held in Accra, Ghana from 14-17 May 2001 within the framework of implementation of the initial PDF B. The suite of eleven Thematic/Sectoral Reports covering the five modules of the LME and the national reports from the sixteen countries were examined at the Workshop, synthesised into a Regional Report and then condensed into a series of analytical tables. These are presented in this document.
The current TDA has been designed at two operational levels. These are as follows:
i Level One: Synthesis: The issues and perceived main transboundary problems, root causes and areas where action is proposed
This level, consisting of a Synthesis Matrix and some explanatory text about the transboundary characteristics of the GCLME serves as a logistical "map" for the TDA. It considers the main issues and major perceived environmental problems including fisheries assessment and management, which must be addressed for the sustainable integrated management of the GCLME. It examines the transboundary elements of the problems (i.e. elements shared by most of the sixteen countries) and then relates them to their major underlying institutional, societal or global root causes. In all cases the root causes are common to a large number of problems and require changes to the role given to environmental issues within the priorities of the governments and the public in general. The matrix identifies three generic areas (issues) where proposals for action can be formulated, viz utilization of resources, environmental variability and pollution/ecosystem health. For each of these generic areas a number of more specific issues ("sub-issues") are identified. These are extensively developed at the next level of the TDA. A simplified version of the Synthesis Matrix is given in the fiqure.
ii Level Two: Specifics: Comprehensive information on the issues, sub-issues, problems, causes, impacts, uncertainties, socio-economic consequences, the perceived solutions, priorities, outputs and costs
Working on the basis of the issues and major problems perceived in Level One, the tables and text, which comprise Level Two, examine the nature of the specific problems identified as contributors to ecosystem degradation and change in the Guinea Current region. They examine the management uncertainties (in the case of environmental variability, the uncertainty of the variability per se) and knowledge gaps, which need to be filled. They present priority practical and implementable proposals for inclusion in the GCLME SAP and the cost of the required international action where possible. Finally the series of tables identify the outputs (products), which should be obtained through the successful implementation of the action and lists the stakeholders for each problem and action area identified. Explanatory text is provided for each sub-issue table.
Readers requiring more information about the GCLME, present state of knowledge about ecosystem structure and functioning, its complexity, ecosystem status, ongoing work and principal management problems are referred to the following:
· National Reports of the countries represented at the Stakeholders Workshop
· Regional Synthesis Report on the Stakeholders Workshop
· Sectoral/Thematic Reports in eleven areas prepared by regional experts for the Stakeholders Workshops
· Integrated Environmental and Living Resources Management in the Gulf of Guinea. Proceedings of the First Regional Symposium for the Gulf of Guinea Large Marine Ecosystem, January 1998 (approx 300pp)
· The State of the Coastal and Marine Environment of the Gulf of Guinea, CEDA, 1999 (160pp)
· Overview of Land-Based Sources and Activities affecting the Marine, Coastal and associated Freshwater Environment in the West and Central African Region, UNEP 1999 (111pp).
· The Gulf of Guinea Large Marine Ecosystem, Elsevier 2002.
· Nearshore Dynamics and Sedimentology of the Gulf of Guinea
· Numerous publications from the Gulf of Guinea LME project
Table 9. SYTHESIS MATRIX
|
Perceived Major Problem |
Transboundary Elements |
Major Root Causes |
|
|
Decline in GCLME commercial fish stocks both resulting from and leading to non-optimal harvesting of living resources |
Most of the regions important harvested resources are shared between countries, or move across national boundaries at times, requiring joint management effort |
1,2,3,4,5,6,7, 8 |
A,B (C) |
|
Uncertainty regarding ecosystem status and yields in a highly variable environment including effects of global climate change |
Environmental variability/change impacts on ecosystem as a whole, and poor predictive ability limits effective management. The GCLME may also be severely impacted by global climate change (subceptibility to increased coastal erosion and flooding) |
1,2,3,7 |
A,B,C |
|
Deterioration in water quality (chronic and catastrophic) and Pollution from Land and Sea Based Activities, eutrophication and harmful algal blooms |
While most impacts are localised, the problems are common to all the sixteen countries and require collective action to address the pollution from municipal, industrial and agricultural sources. Eutrophication and algal blooms are a common problem in most of the countries and require collective action to address |
1,2,3,4,5,7 |
C |
|
Habitat destruction and alteration, including inter alia modification of seabed and coastal zone, degradation of coastscapes and coastal erosion |
Uncertainties exist about the regional cumulative impact from petroleum exploration on benthos and ecosystem effect of fishing. Degradation of coastscapes and coastal erosion reduce regional value of tourism |
2,3,5,6,7,8 |
A,C (B) |
|
Loss of biotic (ecosystem) integrity*
*Changes in community composition, vulnerable species and biodiversity, introduction of alien species etc. |
Fishing has altered the ecosystem as a whole, reduced the gene pool, and caused some species to become endangered or threatened. Introduced alien species are a global transboundary problem |
1,3,5,6 |
A,C (B) |
In Level One: Synthesis, three broad action areas were identified in order to address the perceived major GCLME problems and the main root causes of these problems. The action areas correspond to the three main issues in the GCLME, namely utilization of resources, environmental variability, and ecosystem health and pollution. For each action area a set of more specific actions was specified in the Synthesis Matrix. These specific actions were formulated collectively through consensus among stakeholders at the Second Regional GCLME Workshop to identify the specific problems associated with each main issue. These have been prioritised and the outputs or solutions emanating from the specific actions have been listed and costed. The essential information has been summarised in the set of analysis tables, which follow. These tabular summaries are necessarily brief - often in point form - and where additional clarification has been deemed necessary, this has been provided following each table in the form of explanatory notes.
What is not immediately apparent from the Level Two tables is that there are a number of generic actions which cut across the specific actions within each of the three broad action areas, and indeed even between the broad action areas. For the sake of completeness the essence of this alternative but complementary approach is as follows:
Generic Actions:
§ Capacity strengthening and training
§ Joint surveys and assessments of shared resources and intercalibration.
§ Policy harmonization and integrated management
§ Co-financing with private sector/industry
§ Development of alternative means of livelihoods or new industries (e.g. mariculture, tourism)
§ Facilitation of a functional governance / institutional arrangements and networking
§ Develop existing data and information network and management system through capacity building, improved infrastructure and institutional management.
§ Strenghtening of governance
Generic Actions:
§ Capacity strengthening and training for management of transboundary concerns
§ Regional networking and international linking
§ Development of regional early warning system, assessment and prediction capability (including re-assessments) and joint response policies
§ Cross-cutting demonstration projects
§ Facilitation of functional institutional arrangements
§ Promote cooperation and improvement of transboudary connections based on the data and information management expertise available in the existing centres of excellence
§ Strenghtening of governance
Generic Actions:
§ Capacity strengthening and training
§ Policy harmonization, and development
§ Development of regional framework for assessment
§ Establishment of effective surveillance and enforcement agencies
§ Development of stakeholder participation structures
§ Facilitation of a functional governance / institutional arrangements and networking
§ Strenghtening of governance
What emerges quite clearly from the above approach is that generic actions, such as capacity strengthening and training, the development of regional collaboration or networking in respect of surveys and assessments, and policy development and harmonization, are over-arching actions. These are obvious priorities for GEF support.
Guinea Current Transboundary Diagnostic Analysis
Transboundary Diagnostic Analysis
(TDA)
LEVEL TWO
Analysis Tables and Explanatory Notes
Note: The numbering of these tables corresponds with the action areas identified in the Level One Synthesis Matrix
Table 10: Main Root Causes and contributing f actors
|
1. |
Complexity of ecosystem and high degree of variability (resources and environment) |
· Changing state of the Guinea Current · Inadequate information and understanding · Difficulty in monitoring and assessment · Poor predictability |
|
2. |
Inadequate capacity development (human and infrastructure) and training |
· Colonial/political past · Brain drain · Limited training opportunities · Limited number of highly trained individuals · Limited funds for infrastructure support · High prices for imported scientific equipment |
|
3. |
Poor legal framework at the regional and national levels |
· Regionally incompatible laws and regulations · Ineffective environmental laws and regulations · Environmental Action Plans not being implemented · Environmental auditing required · Noncompliance or non-observance with laws · Lack of involvement and buy in by stakeholders · Lack of co-management |
|
4. |
Inadequate implementation of available regulatory instruments |
· Inadequate compliance and enforcement (over fishing, pollution) · Lack of political will · Inadequate monitoring, control, and surveillance · Apparent lack of transparency in the enforcement of regulations · Indifference and poor communication |
|
5. |
Inadequate planning at all levels |
· Inadequate intersectoral coordination · Poorly planned coastal developments · Inefficient control measures (e.g. to check coastal erosion) · Non-operational contingency plans · Limited time horizon of planners · Rapid urbanisation and informal settlements |
|
6. |
Insufficient public involvement |
· Lack of awareness on environmental issues and public apathy · Conflicts about rights of access · Inadequate involvement of the civil society · Inadequate grassroots participation · Non-involvement of some stakeholders |
|
7. |
Inadequate financial mechanisms and support |
· Low country GDPs · Unsustainable subsidies · Inadequate budgetary allocation for environmental problems and data collection · Ineffective economic instruments · Insufficient funding for infrastructure and management; limited economic opportunity for technical persons |
|
8 |
Poverty |
· Increasing rural-urban drift · Ineffective population control programmes · Lack of knowledge about birth control · Payment of lip-service to poverty alleviation · Unsustainable poverty alleviation programmes · Inadequate capital input towards poverty alleviation · Unsustainable technologies alternatives to traditional practice · Raid population growth |
Table 11: Proposed Areas for Action to address environmental problems in the GCLME Region
|
A. |
Sustainable management and utilization of resources and habitat restoration |
· Facilitation of optimal harvesting of living resources · Protection of critical habitats and vulnerable species of biodiversity · Restoration of degraded critical habitats · Responsible development of mariculture · Assessment of non-harvested species and role |
|
B. |
Assessment of environmental variability, ecosystem impacts and improvement of predictability |
· Reducing uncertainty and improving predictability and environmental forecasting · Capacity strengthening and training · Management of eutrophication and consequence of potential harmful algal blooms · Control of coastline erosion |
|
C. |
Maintenance of ecosystem health and management of pollution |
· Improvement of water quality · Assessment and management of land-based sources and disposal pollution · Monitoring the levels and effects of pollutants for compliance enforcement · Identification of hotspots and critical areas and examination of mitigating / alleviation factors · Harmonisation of regulations and regional cooperation · Prevention and management of oil spills · Reduction of marine litter · Retardation/reversal of habitat destruction/alteration · Conservation of biodiversity · Improve integrated coastal area management in urban, rural and industrial areas · Strengthening Public Private Partnerships · Strengthen National & Regional capacity for assessment and evaluation |
GENERIC ROOT CAUSES
![]() |
![]() |
![]() |
|
· Decline in GCLME commercial fish stocks and non-optimal harvesting of living resources ·
· · Habitat destruction and alteration, including inter alia modifications of seabed and coastal zone and degradation of coastscapes, coastline erosion · |
| ||||||
|
|
AREAS WHERE ACTION IS REQUIRED
Fig 8 Major transboundary problems, generic root causes and areas requiring action
7.0 GCLME TRANSBOUNDARY DIAGNOSTIC ANALYSIS
Conducting a comprehensive transboundary analysis is only possible if the entire LME is covered in the project. The principal current system boundaries are shown in Figure 5.
The northern boundary of the Guinea current region is formed by a strong thermal front between the warm Gulf of Guinea waters and a southerly extension of cool waters from the Mauritanian and Senegalese upwelling area, sometimes called the Senegalese upwelling influence (SUI). Offshore, the SUI generally migrates from north of 15oN to south of 7oN on a seasonal basis, providing a fluctuating, but distinct boundary to the region. At the coast, however, the seasonal amplitude in boundary position is reduced and remains northward of the Bizagos Islands throughout the year. The SUI shows different seasonal and interannual patterns of variability to Gulf of Guinea waters.
The southern boundary of the Guinea Current region is formed by the South Equatorial Current (SEC). The SEC also forms the northern limb of the South Atlantic subtropical gyre and is fed by the Benguela current. From the foregoing, it is obvious that the oceanography of the Guinea Current region is influenced by both equatorial dynamics from the north and seasonal cold-water upwelling in the south.
Five perceived major transboundary problems have been identified. These are listed below, together with a short description of the transboundary characteristics of each of them. The Synthesis Matrix or "logistical map" which then follow the description encapsulate the essence of the TDA. They highlight the transboundary elements and root causes associated with each problem and schematically show how the proposed actions serve to address the causes and help solve the problems:
Problem (i) : Decline in GCLME commercial fish stocks and non-optimal harvesting of living resources
a. Status of the problem/issue
In some countries of the region, there is evidence indicating that the artisanal as well as the commercial fisheries have exceeded or about to exceed the point of sustainability. The Catch per Unit Effort (CPUE) is exceeding sustainable yields (Ajayi, 1994). Species diversity and average body lengths of the most important fish have declined (FAO, 2000)
b. Transboundary elements
Major transboundary elements of the problem can be summarized as follows:
· Loss of income from regional and global trade of marine products
· Region-wide decrease in biodiversity of the marine living resources including the disapperance of high quality critical natural resources
· Region-wide destructive fishing techniques degrading mangrove habitats
· Increasing catch effort on pelagic species such as tuna, sardinella
· Non-compliance to the FAO Fisheries Code of Conduct
c. Environmental impacts
· Loss of biodiversity
· Changes in food web
· Changes in community structure due to over exploitation of one or more key species
· Increased vulnerability of commercially important species
· Long term changes in genetic diversity
· Stock reduction
· Loss of predators
· Habitat degradation due to destructive fishing technique
d. Socio-economic impacts
· Reduced income
· Loss of employment
· Population migration
· Conflicts between user groups
· Loss of recreational opportunities
· Decline in protein
Over-exploitation of fishery resources may have impacts on the status of the coastal communities in a number of ways similar to those of modification/loss of ecosystems and destructive fishing practices.
The GCLME supports a significant world fishery of importance to the food security, and as a source of export income, for the countries bordering this sea. The fisheries sector is highly significant in the GCLME in the context of domestic food security for the participating countries. Fish consumption is quite high in the region and contributes significantly to the protein intakes of the citizens especially in coastal communities. Pelagic and Demersal fisheries within the region are fully exploited with evidence showing that the landings of many species are currently declining. The decline in fish availability in the subsistence sector has led to the adoption of destructive fishing practices such as use of undersize meshes and blast fishing. Based on present consumption patterns and population growth rates, most of the countries especially large coastal cities of Lagos, Abidjan, Accra, Doaula will have to produce significantly more fish by 2010 just to meet domestic demand. Pressure on the coastal resources is therefore likely to increase significantly in the immediate future. Despite nutritional requirements and current population growth rates, the industrial (commercial) fisheries sector in the countries surrounding the GCLME generally exports the trawl fisheries products exacerbating the food security situation in the region.
Figure 9: Fish imports and exports by GCLME Countries
![]() |
The estimate of the numbers of fishing canoes in some countries of the region ranges from 7,350 in Cameroon, 8,650 in Ghana to 200,000 in Nigeria (Report of Working Commision I: In Ibe et al 1998). The motorisation rate for the canoes can reach up to 50% e.g. in Nigeria. The number of fishermen is also quite high: about 24,000 in Cameroon and about 7,600 in Cote d’Ivoire. It is estimated that over 60% of current national fish landings in the GCLME region is made by artisanal fishers (FAO, 1997).
Table 12: 1985-1992 annual catch of small pelagics in Ghana by species (‘000t) modified from Odoi-Akersie (unpublished). In Ajayi T.O. 1994.
|
Landings (‘000t) | ||||||||
|
1985 |
1986 |
1987 |
1988 |
1989 |
1990 |
1991 |
1992 | |
|
Sub Total Small pelagic |
124,8 |
118,4 |
177,7 |
184,4 |
182,8 |
154,0 |
157,7 |
246,8 |
|
Grand Total National Marine |
234,1 |
269,2 |
330,9 |
289,3 |
319,4 |
289,7 |
370,8 |
|
|
% of National Landing |
54 |
43 |
54 |
61 |
63 |
48 |
54 |
66 |
Table 13: Fish Consumption and Percentage contribution of fish in relation to animal proteins (1990)
|
Countries |
Fish Consumption (kg/h/yr) |
%tage Fish contribution in relation to animal protein (1990) |
|
Cote d’Ivoire |
13,8 |
36,1 |
|
Ghana |
27,1 |
63,9 |
|
Togo |
14,4 |
45,3 |
|
Benin |
9,7 |
27,8 |
|
Nigeria |
8,4 |
35,3 |
|
Cameroon |
12,6 |
28,7 |
|
Equatorial Guinea |
19,1 |
61,0 |
|
Gabon |
28,2 |
37,4 |
|
Sao Tome et Principe |
35,1 |
79,1 |
|
Congo |
33,4 |
63,1 |
|
Democratic Republic of Congo |
7,8 |
34,4 |
Source FAO: In Njock, (1998)
e. Causal Chain analysis
Fiqure 10 : Causal Chain Analysis : Decline GCLME commercial fish stocks and non-optimal harvesting of living resources
![]() |

f. Sectors and Stakeholders
The main government sectors involved in the fisheries issues are the fisheries, agriculture and environmental ministries and agencies, and municipal and state (provincial) governments. The Stakeholder Analysis identified the energy ministries as major government impact sectors (perhaps for both oil and gas sector impacts as well as hydropower). Affected stakeholders include local fishermen, coastal zone residents, and scientific community.
g. Supporting data:
The continental shelves of Guinea Bissau, Guinea and Sierra Leone are characterized by coastal fish assemblages (croakers) principally located in nutrient-rich estuarine and inshore areas. The GCLME is already showing evidence of ecosystem stress with major fluctuations of commercially valuable species. Significant changes in species composition have occurred over time as a result of over-exploitation of several demersal and pelagic fish species especially by foreign trawlers if the offshore areas. Recent trawl surveys conducted in Ghana showed that significant changes were occurring in the demersal fish biomass in terms of distribution, abundance and reproductive strategy. A case in point is the continuous fluctuations between the two species, the grunt and Triggerfish in the last two decades. The grunt maintained for a time its position at the top of the list of demersal fish but later gave way to the triggerfish which dominated the ecosystem from the early 1970s to the late 1980s, after which time it dramatically decreased in abundance (FAO, 1997). Koranteng and McGlade (2002) attribute the almost complete disappearance of the Triggerfish after the late 1980s to observed environmental changes and upwelling intensification in the in the central part of the GCLME, off Ghana and Ivory Coast (Koranteng 1988). There was a subsequent increase of the Sardinella. The Sardinella industry had collapsed in 1973, but subsequently recovered to unprecedented levels during the 1980s (Cury & Roy, 2002). The exploitation rate applied to cuttlefish stocks has been increasing since 1984 and by 1990 was considered to be equal to, or slightly above, the optimal fishing effort. The rate of growth of these organisms appears faster than previously estimated (FAO, 1997). Such changes in fishery patterns appear, in part, to be related to overfishing, as evidenced by a decline of Catch-Per-Unit- Effort (Table…) and the taking young immature fish by artisanal fishermen. They also appear to be related to environmentally-driven changes to pelagic stock distribution. For instance, CECAF (1994) assessed the biomass of the small pelagics in the western and central Gulf of Guinea as 392,000mt. The current level of exploitation in the area is about 257,000mt annually clearly showing over-exploitation (Mensah & Quaatey, 2002). The observed recent high catches of the resource (which exceed the estimated potential yield) are due mainly to the intensity of upwelling in the area.
In Guinea, current estimates based on recent trawl surveys indicate a total biomass of demersal resources to be around 180 000 t, of which 44 000 t are of high or medium commercial value. Assessments made by CECAF in 1991 were updated in 1994 (Working Group held at the Centre national des sciences halieutiques de Boussoura, Conakry, Guinea) and show that total demersal biomass decreased by around 50% between 1991 and 1994. The decrease in biomass of the main demersal species, such as croakers, threadfins and sicklefish, was higher than 50 percent. It was suggested that this change in biomass was related to the recent increase of small-scale artisanal and industrial fishing effort. Interactions with the more commercial large-scale fisheries has led to major problems for the traditional artisanal fishery. Fishery production of the coastal area up to 20m depth was estimated at about 40 000 t per year.
Trawl surveys carried out on the Guinea continental shelf have shown that between 1985 and 1990 the estimated biomass of coastal resources in waters less than 20 m deep (roughly up to 15 nm offshore) declined from 112 000 to 49 000 t during the rainy season and from 72 000 to 48 000 t during the dry season. This reduction between 1985 and 1990 can be explained by the increase in fishing activity of trawlers in inshore areas.
In Sierra Leone, small pelagic species are exploited by the artisanal fishery only. Their current level of catches ranges between 22 000 and 30 000 t. Acoustic surveys have estimated biomass to be between 70 000 and 120 000 t, suggesting that controlled development of the industrial sub-sector may be possible. Current annual landings for demersal stocks by trawlers ranged from 8 000 to 20 000 t between 1991 and 1993. Reduced catch rates are currently observed in the fishery and the level of exploitation of demersal fish stock is considered high. MSY has been estimated to lie between 46 500 t and 65 000 t.
Current annual production of Southern pink shrimp in Sierra Leone was found to fall within the MSY estimate of 2 600 to 3 500 t. Reduced catch rates are currently observed in the fishery, and the level of exploitation of shrimp is considered high. In the west and central Gulf of Guinea, potential catches of shrimps were estimated at 4 700 t, and stocks were considered over-exploited. Demersal resources are fully exploited with biomass estimates ranging between 64 000 and 104 000 t.
Marine resources of the Gulf of Guinea are mainly exploited by Côte d'Ivoire, Ghana, Togo, Benin, Nigeria, Cameroon and Equatorial Guinea, among others. Multi-species fisheries are common in the Gulf of Guinea. Small pelagic resources are exploited by small-scale gillnets and semi-industrial purse-seine in Côte d'Ivoire, Ghana, Togo and Benin and exclusively by small-scale fisheries in Nigeria and Cameroon. Coastal demersal resources are composed of sciaenids (exploited by small-scale and semi-industrial fisheries in Nigeria, Benin, Togo and Cameroon), groupers and snappers (fished in Togo and Ghana with hooks-and-lines in untrawlable areas), and sparids (Côte d'Ivoire and Ghana). The white shrimp resources off Nigeria and Cameroon are fished exclusively by artisanal fishery while pink shrimp is exploited by trawlers of the semi-industrial fishery. Penaeid shrimps in Togo and Benin and in Côte d'Ivoire are caught in lagoon fisheries. The offshore demersal resources of Ghana and Côte d'Ivoire are made up of sparids along with the slope community, while the offshore demersal resources of Nigeria and Cameroon are primarily drift fish and redfishes.
The recent biomass estimates of 7 000 t in Congo and 31 000 t in Gabon for stocks of Sciaenidae and Sparidae were based on acoustic surveys carried out in 1994. Demersal resources were either close to, or fully exploited. Effort reduction and redistribution would be beneficial, as fishing concentrates in the inshore zone and on juveniles. Small pelagic species (sardinellas, mackerels and anchovies) are important but unstable resources in the Western Gulf of Guinea (Côte d'Ivoire-Ghana-Togo-Benin) and their stocks are shared. Sardinella stocks seem to be in good shape. Substantial recruitment of S. aurita has been observed in Ghana and Benin in 1988 and 1989. The fishing pattern in recent years has been different from that of 1985 and 1987, with regard to the availability of the resources. Potential catches of small pelagics in the west and central Gulf of Guinea have been estimated at 330 000 t and are fully exploited. Little is known about pelagic and demersal resources in the whole southern Gulf of Guinea. Many countries have not developed an appropriate database and research structures to analyze stock exploitation status.
Acoustic surveys in the northern shelf of Angola indicated during 1985-1989 a decline in the biomass of small pelagics (sardinella and horse mackerel). The trend has dramatically reversed during the 1990s and the current biomass level now exceeds 500 000 t. Horse mackerel (T. trecae) biomass was estimated at about 250 000 t (1994). High biomass values for both round sardinella and Madeira sardinella were also recorded in the South Gabon - Congo region, 135 000 t in 1994. Horse mackerel biomass was estimated at 25 000 t. These estimates indicate a considerable increase in biomass compared to previous survey results, confirming the trends observed in Angola. Small pelagic stocks are considered under-exploited.
Table 14. Domestic Fish Production by Sector from 1995 to 1999 (tonnes)
|
Sector |
1995 |
1996 |
1997 |
1998 |
1999 |
|
Artisanal |
159,201 |
138,274 |
175,126 |
219,073 |
239,228 |
|
Industrial (Fishing) |
21,191 |
15,425 |
15,326 |
17,947 |
14,180.6 |
|
Industrial (shrimping) |
12,252 |
9,551 |
10,807 |
10,716 |
15,249 |
|
Total |
192,644 |
163,250 |
201,259 |
247,736 |
268,657.6 |
Source: Federal Department of Fisheries, Nigeria: 2000.
The maximum sustainable yield (MSY) for Nigerian fisheries was estimated by Tobor (1990 at 240,000 metric tons. According to Moffat and Linden (1995), official catch figures have greatly exceeded the MSY for 1980 to 1989. In spite of the limitations of estimating MSY in circumstances where catch efforts and standing catch data may be inadequate, there are other pointers to declining fish depletion and over-exploitation. In Rivers State of Nigeria for example, between 1980 and 1982, catches which ranged between 86,000 to 107,000 tonnes, decreased to values ranging between 16,000 and 19,000 tonnes in the 1986 to 1987 period (Moffat and Linden, 1995). This supports the notion that catches were well above the carrying capacity for several years.
Environmental changes manifesting a periodic variability in coastal upwelling intensities are playing a role in coastal pelagic fish abundance fluctuations. For instance, the east and west flows and position of the Guinea Current may play a role in these population fluctuations. Shifts in biomass appear to be connected to a shift in the boundary of the Guinea Current. These alterations have been linked to oceanographyic changes including the southward displacement of the Intertropical Convergence Zone (ICTZ) during Atlantic El Ninos. All these issues would be better analysed and managed by the project component on environmental variability assessments and the regional demonstration project on “assessment and sustainable management of fisheries and conservation of biodiversity in the GCLME” in order to improve fisheries forecasting.
Demersal fish are the target species in the GCLME mostly: Pseudotolithus typhus and P. elongates (sciaenidae) resulting in decreased landings. It is estimated that there are around 50 and 400 industrial trawl vessels in Cameroon and Nigeria respectively. The waters of the GCLME hold a significant number commercially important fish species and commonly known invetebrates (Armah & Nyarko, 1998). According to FAO (1990), the fish diversity in the GCLME is reasonable well documented.
Table 15: Average annual marine fish catch and percentage change of countries in the GCLME (from World Resources 1998-99)
|
Country |
Average 1993-95 (103 mT) |
Percent change 1983-85 |
|
Angola |
77.5 |
(1) |
|
Benin |
13.5 |
192 |
|
Cameroon |
41.9 |
25 |
|
Congo |
17.5 |
8 |
|
Cote d’Ivoire |
57.5 |
(22) |
|
Equatorial Guinea |
3.3 |
15 |
|
Gabon |
240 |
28 |
|
Ghana |
299.6 |
34 |
|
Guinea |
60.3 |
130 |
|
Guinea Bissau |
5.3 |
75 |
|
Liberia |
3.8 |
(61) |
|
Nigeria |
187 |
14 |
|
Sierra Leone |
47.1 |
34 |
|
Togo |
8.7 |
(23) |
Negative numbers are in parentheses
Figures 10: Mean catch rates recorded in the F.T. Susainah survey, 1999

Figure 11: National and Foreign Fleet in the GCLME region (Source FAO, 1997) INFORMATIONS SUR L'AMENAGEMENT DES PÊCHES DANS LA RÉPUBLIQUE DU CAMEROUN Janvier 1998

Catches of ISSCAAP Group 45 (shrimp, prawns, etc.) represent 1.4% of the total catches (Figure B4.7). Southern pink shrimp catches started to become significant in 1966 and have since regularly increased with a sharp peak, reaching 19 000 t in 1993 before declining to 14 000 t in 1994. The deepwater rose shrimp fishery started from nothing in 1971 and catches have shown a great variability, with a very high value of 19 000 t in 1978 but only about 5 000 t in 1986-88 and 1992-94. (ISSCAAP= International Standard Statistical Classification of Aquatic Animals and Plants)

Figure 12: Shrimp catches for the GCLME region (Source FAO 1997)
Table 16. Densities (Kg/ha) and catch rates Kg/h of total demersal resources and selected species obtained in trawling surveys on the continental shelf of Ghana, 1963-1990 (sources: FRUB, Tema, In Ajayi (1994)
|
SPECIES |
*GTS CPUE |
Densities (kg/ha) | ||||
|
1963-64 |
1969-70 |
1981-82 |
1985-86 |
1989-90 |
1990 | |
|
B. auritus |
24-35 |
2,4 |
- |
8,3 |
3,5 |
0,2 |
|
E. aeneus |
1-24 |
0,5 |
- |
2,1 |
0,7 |
0,8 |
|
P. bellottii |
12-103 |
1,6 |
- |
4,9 |
1,4 |
1,4 |
|
D. canariensis |
1-15 |
1,3 |
- |
2,2 |
0,9 |
1,0 |
|
S. caeruleostictus |
4,39 |
1,0 |
- |
2,7 |
1,1 |
1,8 |
|
D. volitans |
1,86 |
0,9 |
- |
0,2 |
0,6 |
2,5 |
|
P. prayensis |
9,26 |
0,7 |
- |
2,7 |
1,2 |
0,7 |
|
Sepia spp |
1-12 |
1,2 |
- |
1,2 |
0,6 |
3,8 |
|
TOTAL DEMERSAL |
23,5 kg/ha |
36,0 |
93,9 |
62,1 |
19,4 |
22,8 |
* Guinea Trawling Survey
Table 17: Major groups, families and number of species of the commercially exploited fin- and shell- fishes of the Gulf of Guinea (sources: FAO, 1990)
|
GROUP |
FAMILY |
SPECIES |
|
Bony fishes |
80 |
627 |
|
Sharks |
11 |
77 |
|
Batoid fishes (sawfishes, rays & skates) |
7 |
41 |
|
Lobsters |
3 |
3 |
|
Shrimps & Prawns |
10 |
17 |
|
Cephalopods |
7 |
23 |
|
Bivalves |
17 |
47 |
|
Gastropods |
13 |
26 |
|
Sea turtles |
2 |
6 |

Figure 13: Fisheries resources in the Guinea Current Large Marine Ecosystem (source: University of British Columbia, at http://data.fisheries.ubc.ca)
A large artisanal fisheries sector with strong traditional roots in the region had used bottom set nets, hook and line and beach seines to catch demersal fish for the populations of Sierra leone, Ghana and Togo. After the 1960s, the Guinea Curent LME’s transboundary straddling and migratory stocks attracted commercial offshore fishing fleets. Their fishing efforts exerted extreme pressure on the fishing resources, placing them at risk of collapse. This was exarcebated after 1982 by the return of local industrial fleets that had previously fished other EEZ waters but were barred from them according to the new UNCLOS provisions pertaining to Exclusive Economic Zone. This resulted in a significant increase in trawling effort and landings (especially of demersal fisheries). The time series analysis of Catch-Per-Unit-Effort (CPUE) of Koranteng (2002) for both small-sized inshore vessels and industrial trawlers in Ghana showed a consistent rise in industrial trawling from the mid 1970s and a downward trend in the late 1980s in inshore seasonal fishing. There was also a consistent rise in industrial trawling effort and a decline in that of inshore trawlers operated by artisanal fishermen. The CPUE exceede sustainable yields in some of the countries bordering the GCLME and led to a decline in both demersal and pelagic species diversity and average body lengths of the most important fish species (see figure 7 above).
The GCLME is one of the most endowed areas of the globe in terms of rivers. Ten major rivers, including the Congo (Congo), Niger (Nigeria), Volta (Ghana), Wouri (Cameroon), Comoe and Bandama (Côte d’Ivoire), enter the ecosystem from an extensive network of catchment basins transporting great quantities of sediments. Folorunsho et al (1998) estimates the discharge of 90 million tonnes of sediments annually as terrigenous flush into the nursery grounds in the estuaries and mangroves, supportive of the replenishment of blue mud in the penaeid shrimp fishery. Around river mouths also, notably off Sierra Leone, Cote d’ Ivoire, Nigeria, Cameroon and the Congo, significant reductions in salinities are seasonally associated with the rains.
Problem (ii) : Uncertainty regarding ecosystem status and yields in a highly variable environment including effects of global climate change
a. Status of the problem
Environmental changes manifesting a periodic variability in coastal upwelling intensities are playing a role in coastal pelagic fish abundance fluctuations in the GCLME. For instance, the east and west flows and position of the Guinea Current may play a role in noticeable population fluctuations of the Triggerfish that appeared in large quantities in the seventies but have now completely disappeared. Shifts in biomass appear to be connected to a shift in the boundary of the Guinea Current. These alterations have been linked to oceanographyic changes including the southward displacement of the Intertropical Convergence Zone (ICTZ) during Atlantic El Ninos. Owing to the fact that the waters of the Tropical Atlantic are under the influence of the tropical atmospheric circulatory system, the potential impacts of global warming (climatic changes) could be highly variable in the GCLME (Ibe and Ojo, 1994). All these issues would be better analysed and managed by the project component on environmental variability assessments and the two regional demonstration project on “assessment and sustainable management of fisheries and conservation of biodiversity in the GCLME” and “Determination of new and emerging productivity patterns in the Guinea Current LME with regard to its carrying capacity for living resources” in order to improve fisheries forecasting and management.
b. Transboundary elements: The Guinea Current environment is highly variable and the ecosystem is naturally adapted to this. However, sustained large scale environmental events such as ENSO, flooding, algal blooms, Benguela and Canary Current intrusions and changes in winds, affect the ecosystem as a whole, compounding the negative effects of fishing. These events and changes generally have their origin and cause outside of the GCLME, but are of such a scale that the impacts occur in their international water areas of all sixteen countries i.e. the changes propagate across external GCLME boundaries and internal geopolitical boundaries. The poor ability to predict events and changes, limits the capacity to manage effectively system wide. In addition the GCLME is believed to play a significant role in global ocean and climate processes and may be an important site for the early detection of global climate change.
c. Environmental Impacts
d. Socio-economic impacts
Most of the rivers emptying into the Guinea Current LME Basin bring with them significant quantities of nutrients putting the common coastal and marine
waters of the region under severe stress. Nutrient inputs to coastal and marine areas of the GCLME, mostly from human activities, have lead to
frequent eutrophication, anoxia, and subsequent death of the waterbody. This may give rise to the decimation of the nearshore and estuarine fisheries of the
region and other negative impacts not only on the food security and economy of the region but also on the health of the coastal inhabitants ingesting the
polluted fisheries and water.
The economic, social, strategic and recreational values of the marine environment and coastal areas of the GCLME have risen so highly over the years that competition for more intensive land uses has also increased. Periodic variations in climatic conditions have exposed the GCLME coastal environment as well as human activities and structures to insecurity and destruction. A future climatic change that leads to warming of the earth and rise in sea-level threatens great danger for the coastal areas and marine environment of the GCLME region. Global climate change and associated impacts such as sea-level rise and flooding have been documented to have serious impacts on socio-economic activities in the GCLME region. The coastal nations of the GCLME (e.g. Sierra Leone, Nigeria, Cameroon, Gabon and Angola) have low lying lagoonal, erosive coasts, and hence are likely to be threatened by sea-level rise (Awosika, 2002). This will become even more threatening whenever storm surges concide with spring todes. Many of the barrier islands protect the rich, low-lying coastal lands against storms and enclose and protect the rich natural resources of estuaries, marshes and mangroves. Many of these barrier islands are heavily developed and urbanized with most country capitals situated on them. Many industries and oil handling facilities built near the coastline will be affected by flooding. For Instance, the barrier lagoon coastline in the western extremity with the high real estate at Victoria Island and Lekki, could lose well over 584 and 602 square Kilometres of land from erosion while inundation could completely submerge the entire Lekki barrier system. Such adverse impacts will affect the residential and commercial and tourist facilities on the Victoria, Ikoyi and Lagos Island at well over U.S $12billion. According to Awosika et al (1993), the Niger Delta could lose well over15 000 square kilometres of land by the year 2100 with a one-meter sea level rise. With as much as U.S $13 billion already invested in oil mining facilities and fishing settlements in the Niger Delta, the cities, villages an d fishing settlements in the Niger Delta, the potential loss to Nigeria will be very great. Awosika et al (1993) estimated that with sea level rise of 0.3 meters about 1 to 2 million people will be affected. In addition, agricultural lands situated close to the coast will be flooded and increased salinity of water and soil will lead to reduced food production and cash crops. Awosika et al, (1992) estimated that about 18,120 to 18,396 km2 of Nigerian coastal areas could be at risk by the end of the twenty-first century with a one meter sea-level rise. The highly productive lagoons, mangroves and delta ecosystems of the GCLME would also be subjected to flooding due to sea-level rise leading to disruptions of these fragile ecosystems.
Table 18: Summary of impacts and response costs for a one meter sea level rise in Nigeria (after French and Awosika 1993)
|
Land at risk (km2) |
18,120 to 18,396 |
|
Population at risk |
3,180,000 |
|
Value at risk (million) |
US$18,134 |
|
Important area protection |
US$558 to 668 |
|
Total protection |
US$1,424 to 1,766 |
Table 19: Estimated Number of People (in millions) that will be Displaced by Sea Level Scenarios (Awosika Et Al 1992)
|
Slr Scenarios |
0.2m |
0.5m |
1.0m |
2.0m |
|
Barrier |
0.6 |
1.5 |
3.0 |
6.0 |
|
Mud |
0.032 |
0.071 |
0.140 |
0.180 |
|
Delta |
0.10 |
0.25 |
0.47 |
0.21 |
|
Strand |
0.014 |
0.034 |
0.069 |
0.610 |
|
Total |
0.75 |
1.86 |
3.68 |
10.00 |
|
% Total Pop. |
0.07 |
1.61 |
3.20 |
8.70 |
e. Causal chain analysis
Figure 14: Causal Chain Analysis: Uncertainty regarding ecosystem status and yields in a highly variable environment including effects of global climate change
![]() |
f. Sectors and Stakeholders
g. Supporting Data
Plankton research in the Gulf of Guinea began in the late nineteenth century with oceanic expeditions to the region by some European countries to assess the biodiversity in the region. Among the major expeditions were the Buccaneer in 1886, Valvivia in 1898, Meteor in 1925, Dana in 1930, the Atlantide in 1945-46 and the Calypso in 1956 (Voss, 1966). Following such expeditions, the importance of plankton in the regions marine productivity gained importance and national institutions responsible for fisheries included plankton monitoring in their activities. For example, in Ghana the Fisheries Research and Utilization Branch (now Marine Fisheries Research Division), carried out monthly monitoring of zooplankton from 1962 to 1995 (Mensah and Koranteng 1988; Mensah 1966). The data provided a crude indication of the size of future fish stock – an increased in secondary production meant enough food for fish larvae and thus an increase in fish stock.
The Guinea Current Large Marine Ecosystem is considered a Class I, highly productive (>300 gC/m2-yr), ecosystem based on SeaWiFS global primary productivity estimates. Primary productivity peaks from June to September, stimulated by nutrient level increases related to the first rains in June, upwelling later in the year, and large riverine floods from September to October. Because of the shallow depth of the Guinea Current and vertical migration patterns of the zooplankton, the phytoplankton and zooplankton biomass cycles are in phase with seasonal upwelling. The zooplankton biomass peaks very soon after the phytoplankton blooms. The plankton survey, using Ships of Opportunity, conducted in the waters of the Gulf of Guinea LME during the pilot phase GOGLME project was the first ever regional effort to monitor the plankton in the sub-region. The results have provided spatial and temporal information on plankton variability in the area. The data is also being used, in conjunction with other parameters, in estimating the carrying capacity of the Gulf of Guinea fishery. The Primary productivity surveys in the Gulf of Guinea, using these ships of opportunity towing Continuous Plankton Recorders (CPR), indicated new and emerging patterns of productivity that contain at the same time hopeful and distressing signals. The hopeful signs come from the discovery of new areas of upwelling (e.g. off Benin and Nigeria) besides those already known which has led to upward revisions of potentially available fish stocks in the Gulf of Guinea. The distressing signs arise from the increasing occurrence of harmful algal blooms indicating intense eutrophication and therefore excessive nutrient loading in the Gulf of Guinea from anthropogenic sources. There is a need for more assessment of plankton amount and type, for more information on currents, upwellings and the availability of nutrients for ocean fauna and flora. Continuous Plankton Recorder (CPR) tows must continue to build upon already acquired results, and must be extended to the natural limits of the LME in order to build a comprehensive picture of productivity patterns on an ecosystem wide level, with regard to the LME’s carrying capacity for living resources.
Figure 15:. Plankton monitoring routes in the Gulf of Guinea.

Figure 16: Mean seasonal phytoplankton colour taken in each degree of longitude along the CPR routes (courtesy SAHFOS Report, 1999).

Figure 17: Primary productivity patterns in the CECAF Region covering the GCLME

The GCLME LME is rich with living marine resources and commercially valuable fishes, both marine and coastal. Fish species include croaker, grunts, snapper, sardinella, triggerfish and tuna. During the last two decades there have been substantial fluctuations in the fishery, with the triggerfish (Balistes carolinensis) increasing dramatically in the 1970s followed by a severe decrease and the 1973 collapse of the Sardinella fishery. The latter subsequently recovered to unprecedented levels during the 1980s (Binet, et al., 1991). The changes in fishery patterns appear to be related to a new geographical distribution of pelagic stocks. Shifts in fisheries populations may be caused by environmental factors. For instance, Ibe and Ojo (1994) observed that, with the exception of Ethmalosa sp., the Sardinellas appear not to be abundant in the water sectors where the mixed layer is of low salinity and warm water present all the year round (T>240C; /<35o/oo). With global warming it is thus likely that the Sardines may not be found in the Grain Coast and Bight of Biafra sectors which exhibit these two characteristics above. The respective east and west flows and position of the Guinea Current may play a role in population shifts. Acoustic surveys taken between 1980 and 1990 indicated a sudden increase in fish density on the Ivorian shelf (see Marchal, 1993). The shift in biomass appears to be related to a shift in the boundary of the Guinea Current. These alterations are probably linked to distant climate anomalies, such as the southward displacement of the ICTZ during Atlantic El Niños. A greater understanding of oceanographic processes is needed to improve ecological forecasts. There are indications that anticipated sea-level rise due to climatic changes would affect the aquatic life especially in the brackish waters of the GCLME (Ibe and Ojo, 1994). The change in water level, when it occurs, is likely to upset the breeding habits of some fish already used to existing habitats while new species may or may not survive in the new environment. It is also expected that by possible reduction in upwelling certain types of fish production will be reduced.
The oceanic water circulation in the northern Gulf of Guinea is dominated by the Guinea Current (GC), an eastward surface flow with high speeds usually observed from April to July (Colin, 1988). This Current overlays the Guinea Under Current (GUC) flowing westward. At low GC speed, the GUC becomes the predominant and reversals of surface circulation are common. These currents show large fluctuations in speed and direction, both on a temporal and a spatial scale, but little data on a long term-scale are available. Binet and Servian (1993) explained that the change in the current system observed since 1980 is compatible with other major events, such as the Atlantic Nino (Philander 1986) or the circulation anomaly noted along the Namibian coast (Shannon et al 1986).
Environmental monitoring in the GCLME region relies mainly on a set of coastal stations, on the Comprehensive Ocean Atmosphere Data Set (COADS) database and on satellite imagery. This provides useful information on a limited set of variables such as SST and wind. These variables can be related to fish population dynamics at different scales of observation including short-term changes in fish availability, year to year abundance or lower frequency regime shifts. The joint Soviet-Sierra Leone oceanographic cruises in Sierra Leone waters in 1987-1988 reported a warming up of the waters and a change in the composition of the fish stocks but longer term data are required before definite inferences can be made concerning the short term trends in fisheries composition/changes due to impacts of climate change. In addition, salinity stress consequent upon the ingress of seawater due to sea-level rise would lead to disruption of the coastal fishery by causing disorganization in the faunal assemblages in estuarine, deltaic and lagoonal environments resulting in the redistribution of species and failures in the reproduction and survival of their eggs/spores and larvae/sporophytes. Predator/prey relationships would be altered to the advantage of predators.
Along the Cote d’Ivoire continental shelf, environmental patterns have been investigated using data collected from 1966 to 1984 (morliere and Rebert 1972; Hisard 1973; Colin 1988). Characteristics of coastal upwelling and their interannual variability are well documented (Morliere 1970; Voituriez 1981; Ibe and Ajayi 1984). Along the Cote d’Ivoire shoreline, this seasonal enrichment supports pelagic and demersal fisheries, both very sensitive to environmental change (Binet et al 1991; Pezennec and Bard 1992; Binet 1993). Continental influence is linked to four major rivers namely Cavally, Sassandra and Bandama Rivers flowing directly to the Gulf of Guinea, while the Comoe River flows seaward through the Ebrie Lagoon and the Vridi Canal. These large river inputs are high during the flood season, from October to December. Rainfalls in the coastal forest area induce local river floods during the rainy seasons, from April to June and from October to November (Binet 1993; Mensah 1991). Since 1982, a weekly hydrological sampling (temperature, salinity and Secchi disk measurements) has been maintained around the Abidjan coastal zone (Bakayoko 1990; Cissoko et al 1995, 1996). The study was to describe the seasonal and interannual fluctuations of physical parameters in relation to major continental (rain, river floods) and oceanographic events (upwelling) in the northern Gulf of Guinea during the 1992-1997 period and to compare these data to older information; and to assess the respective importance of these hydrological factors on the pelagic system (bacteria and phytoplankton) in that coastal station. Results obtained from the study shows that hydrological conditions observed at the coastal station off Abidjan are strongly influenced by the seasonal variability of three major
phenomena: rainfalls, river floods and upwellings. Upwelling enriches the neritic ecosystem, exerting an immediate infuence on biological productions, on phytoplankton and consequently, on bacterioplankton. Therefore, during four to five months (main upwelling plus short cold events), the coastal ecosystems can be considered as productive.
The neritic area along the eastern Cote d’Ivoire coastline can be presently considered as more productive than a few decades ago with the nutrient poor situation lasting less time, and the nutrient rich situation lasting longer. This could explain the recent outburst of small pelagic fishes (Sardinella aurita) in this part of the GCLME (Arfi et al 2002). This supports the earlier environmental time series analysis conducted by Koranteng and Pezennec (1998) showing transition from a depleted to a prosperous state of Sardinella aurita as CPUE increased from 0.8 to 7.2 tons/day before and after 1980 during the upwelling period.
The above impacts are a few of the possible documented consequences of global warming and climatic changes on the ocean dynamics of the GCLME region. These can be further elucidated through the collection of more observational data and development of regional oceanographic models. The partnership with GOOS-Africa would facilitate the development of environmental prediction models for the GCLME region.
Table 20: Ecological processes and related scales of observation for the ecological and environmental data. Methods used and main results obtained in Cote d’Ivoire (adapted from Roy et al 2002).
|
Ecological process |
Scale of observation |
Ecological data |
Environmental data |
Method |
Results |
| Availability |
Fortnight |
CPUE |
SST (coastal, COADS) |
Multivariate time series analysis |
Depend on enrichment process |
| School size |
Fortnight, month |
Catch per set |
SST (coastal, COADS) |
Regression |
Depends on food availability |
|
Seasonal Migration |
Month |
Catch |
CUI, SST coastal and COADS |
Comparative dynamics (CUI) |
Depend on differential food production |
|
Changes in Migration |
Month, annual |
Catch |
SST coastal, Satellite (Meteosat) |
Spatial upwelling index |
Depend on yearly strength of the upwelling |
|
Inter-annual abundance |
Annual |
Catch, CPUE |
SST, wind |
Climprod (production models GAM) |
Depend on availability/Abundance OEW (optimal environmental window) |
|
Lond term abundance |
Decadal |
Catch, CPUE |
SST (coastal, COADS) |
GAM, STL (generalized additive models) |
Change in the seasonal pattern and in the long term environment |
| Retention area |
Decadal |
Eggs and larvae |
SST (COADS), satellite |
Models (3D, IBM) |
Double cell circulation |
|
Reproductive behaviour |
Microscale |
Individual fish dynamics in space |
Global change |
Comparative Evolutionary ecology, IBM |
Ecology of individuals |
(NOTES: CUI= Coastal Upwelling Index; IBM= Individual Based Models; GAM= General Additive Models)
Problem (iii) : Deterioration in water quality (chronic and catastrophic), Pollution from Land and Sea Based Activities, eutrophication and harmful algal blooms.
a. Status of the problem/issue
Pollution from Land and Sea Based Activities has contributed significantly to the deterioration of the water quality of the countries of the GCLME. Domestic and industrial pollutants have mostly been associated with the large coastal cities in the region such as Accra, Abidjan, Lagos, Douala, Port Harcourt and Luanda. Most of the industries operating in the region are located in or around the coastal areas and discharge untreated effluents directly into sewers, canals, streams and rivers that end up in the GCLME causing widespread deterioration in the water quality and the health of the coastal inhabitants.
b. Transboundary elements: Pollution from municipal, industrial and agricultural sources impact significantly on transboundary waters and living marine resources of the GCLME. Although most impacts of chronic deterioration in water quality are localised (national issues), they are common to all of the countries and require collective action to address. Moreover, chronic pollution can favour the development of less desirable species, and result in species migration. Catastrophic events (major oil spills, maritime accidents) can impact across country boundaries, requiring co-operative management and sharing of clean-up equipment and manpower. Eutrophication and HABs occur in most of the sixteen countries, and these face similar problems in terms of impacts and management, and which require collective regional action to address.
c. Environmental impacts
d. Socio-economic impacts
Domestic sewage and other wastes, but also coastal and upstream non point sources of pollution from agricultural, forestry and hazardous waste sites constitute sources of contamination of the drinking freshwater and the water quality in general, both for the surface and groundwater resources. Indeed, the water quality degradation is generally associated with health problems because of the presence of pathogens and other micro-organisms, excess of nitrates and persistent organic micro-pollutants, etc. It is clear, consequently, that human interference (with the land-based activities) in the region, superimposed on natural degradation processes in the coastal and marine areas could induce huge disturbances with large impacts in the concerned environments (loss of habitats and productivity and biodiversity, water quality decline with consequences in the coastal population health, changes in the natural coastal and marine environment equilibrium with very often, increasing harmful effects; i.e., microbiological and bacteriological contamination in the Korle Lagoon in Ghana and in Ebrie and Lagos lagoons, around Abidjan and Lagos.
Table 21: Domestic waste and waste statistics of some GCLME countries
| City- Country |
Per capita water used/day |
Wastewater treated % |
Per capita solid waste generated % |
| Luanda- Angola |
50 |
0 |
- |
|
Porto Novo- Benin |
22 |
- |
0.5 |
|
Douala- Cameroon |
33 |
5 |
0.7 |
|
Yaounde- Cameroon |
61 |
20 |
0.8 |
|
Abidjan- Cote d’Ivoire |
111 |
58 |
1.0 |
|
Libreville- Gabon |
100 |
0 |
- |
| Accra- Ghana |
4 |
0 |
0.4 |
|
Conakry- Guinea |
50 |
0 |
0.7 |
| Lagos- Nigeria |
80 |
- |
1.1 |
| Lome- Togo |
35 |
- |
1.9 |
![]() |
Figure 18. Cholera Cases in Côte d’Ivoire (In Abe et al, 2000)
The major socio-economic impact expected as a result of microbiological pollution is a deterioration of human health (illness and deaths). Epidemiological data shows the possible implication of the Ebrié Lagoon and its hydro climatic variations in the endemics of some diseases such as Cholera, typhoid. Since 1970, infectious diseases involving bacteria of the Genus Vibrio (such as Vibrio cholerae, V. parahaemolyticus and Aeromonas spp.) occur endemically and sporadically among the riverine population of the Ebrié Lagoon (Dosso, 1984). Kouadio (pers. Com.) shows that pollution of the Ebrié Lagoon’s shoreline causes olfactory nuisances to the riverine population which has borne a social cost estimated to 142.2 millions in 1998.
Detailed studies and analysis conducted in the GCLME region and in the entire WACAF region show clearly that sewage constitutes the main source of pollution as a result of land-based activities (UNEP, 1999). All the countries assessed reflect high urban, domestic loads, sometimes from industrial origin, which include BOD, suspended sediments, nutrients, bacteria and pathogens (Tables … below). The annual total BOD for the entire WACAF region including the GCLME was estimated to be 288,961 tons from municipal sewage and 47,269 from industrial pollution, while the annual total suspended sediments (TSS) was estimated around 410,929 tons from municipal sewage and 81,145 tons from industrial pollution. Again, the rapid growth of urban populations is far beyond the capacity of relevant authorities and municipalities to provide basic and adequate services such as water supply, sewage and other waste water treatment facilities. As consequences of all these domestic and organic biodegradable material discharges, contamination of the water quality, surface waters as well as shallow aquifers and groundwater, is a current phenomenon, mostly in the sub and peri-urban areas, where the conditions of overcrowding and poverty are increasing with the growing number of people.
The main consequences are: public health risks from the presence of sewage pathogens, eutrophication or oxygen depletion due to excess load of nutrients and organic carbon as well as contamination of the marine and human organisms through the aquatic food chain. Indeed, in all the confined bays and the near shore zones around the large cities, such as Conakry or around the most important coastal lagoons in the region: i.e., in the Gulf of Guinea with the Ebrie, Togo, Nokoue, Lagos lagoons, the water quality deterioration resulting from the insidious sewage run-off phenomenon, in particular during the rainy season, posed a major risk to the coastal and marine environment and to people health. The chronic lack of hygiene in most of these environments results in an increase in the number of infections among the population, in particular among children, with the result that epidemics of typhoid, hepatitis and malaria are common.
Table 22: Estimated amount of municipal sewage in comparison with industrial pollution in the WACAF Region including the GCLME countries.
| ZONES |
Estimated population*** 1000* |
Municipal sewage |
Industrial pollution | ||||||
| BOD5 t/year |
%* |
SS /year |
%* |
BOD5 t/year |
%** |
SS t/year |
%** | ||
| Northern |
17.350 |
62.535 |
21.6 |
88.930 |
21.6 |
15.320 |
24.5 |
18.542 |
20.8 |
| Middle |
117.960 |
205.612 |
71.1 |
292.401 |
71.1 |
29.962 |
14.6 |
61.243 |
20.9 |
| Southern |
36.800 |
20.814 |
7.3 |
29.598 |
7.3 |
1.986 |
9.5 |
1.360 |
4.6 |
| TOTAL |
172.110 |
288.961 |
100.0 |
410.929 |
100.0 |
47.269 |
16.3 |
81.145 |
19.7 |
* Percentage of the total amount of municipal sewage in the Region
** Percentage on industrial pollution of the amount of municipal sewage in certain zones
*** Estimated population of the Region, but without Mauritania, Cape Verde and Namibia (Africa South of the Sahara.
Source: UNEP, 1984 Regional Seas Reports and Studies. No. 4
Table 23: Effluent quality of some industry specific discharges into Odaw river and Korle lagoon catchment, Accra, 1994/1995
|
Pollution Indicator |
Food and beverages Industry |
Chemical Industries Guidelines |
World Bank Guidelines |
|
Biological Oxygen Demand (BOD) mg/l |
240-4,260 |
1.0-380 |
50 |
|
Chemical Oxygen Demand (COD) mg/l |
700-30,200 |
24-6,200 |
250 |
|
pH |
4.0-11.04 |
6.7-7.6 |
6-9 |
|
Conductivity (ms/cm) |
2.18-4,600 |
486-562 |
|
|
Oil & Grease (mg/l) |
29-108 |
24-27 |
10 |
|
Ammonia NH4 (mg/l) |
1.2-70.5 |
0.48-10 |
|
|
Temp. |
25.7-41.8 |
- |
Source: EPA Monitoring Results, Accra (1994/1995)
As agriculture constitutes one of the major sources of income in the region, its intensification (through irrigation and extension to marginal lands) has led sometimes to the excess use of nutrients, pesticides and other herbicides and organo-chlorine substances, including certain forms of POPS The intensity of the use of POPS varies from country to country depending on the type of agriculture but they can constitute a source of pollution, which may be of importance for the GCLME region. Various examples can be found in Benin, Cameroon, Côte d'Ivoire, Nigeria and Sierra Leone. Because of the non-existence of substitutes not only for pesticides, but also for substances against diseases and public health vectors, chlorine insecticides have been used for more than 30 years. This is likely to continue if international efforts to ban them or strictly regulate their circulation and find substitutes are not made.
Oil pollution, which is widespread in the Niger Delta, also results in ecological and health problems to which women and children are particularly susceptible. The socio economic impacts of oil spills are enormous. Between 1992 and 1993, the total area under major food crop production in Bayelsa, Rivers and delta states (all in the Niger Delta) decreased by 41.7 %. These impacts are particularly serious in the area where a large proportion of the land is swampy and land suitable for agricultural is relatively small. Social disturbances resulting from reactions to oil spills have unquantifiable impacts on the economy of the immediate areas and communities and the nation as a whole. Ghana alone, for instance, discharges about 1,400 tons of waste oil daily or 500,000 tons annually, and it is estimated that the entire sub-region discharges about 4,000,000 tons of waste oil into the GCLME annually.
Poverty is also a major contributing factor to the present degradation of the coastal and marine environments in the GCLME, since it constitutes a major impediment for the adoption of new practices or behaviour which are less damaging to these environments. The presence of bilharzia and other water-borne diseases constitutes another important health risk resulting from the deterioration of the quality of water in the freshwater environment. This is due in particular to the changes occurring as a result of the construction of river dams. Good examples can be found in the Volta and Niger river basins
Table 24: Concentration of oil and chlorine substances in fishes in GCLME coastal and marine areas (ng/g, wet weight)
|
Localities/Species |
p,p’-DDE |
p,p’-DDD |
p,p’-DDT |
DDT total |
PCB |
References | |
| FISHES |
|||||||
| Nigeria |
3.72 (0.13-14.70) |
0.12 (ND-1.05) |
4.37 (0.15-18.60) |
40.9 (11.0-225) |
Osibanjo and Bamgbose, 1990 | ||
| Sierra Leone |
15 (2-36) |
11 (2-30) |
46 (7-116) |
90 (3-825) |
Portmann et al. 1989 | ||
| Benin |
0.23 |
1.79 |
1.86 |
3.88 |
Soclo and Kaba, 1992 | ||
| Cote d’Ivoire |
1.92 (0.13-4.3)* |
Kaba, 1992 | |||||
| Cameroon |
89.5 (ND-393) |
196 (ND-983) |
Mbi and Mbome, 1991 | ||||
|
MOLLUSCS AND CRUSTACEANS |
|||||||
| Nigeria |
Shrimps, crabs, oysters, snail |
37.0 (4.47-152) |
94.5 (37-287) |
Osibanjo and Bamgbose, 1990 | |||
| Cote d’Ivoire |
shrimps |
1.0 (0.17-1.9)* |
Kaba, 1992 | ||||
| Cameroon |
shrimps |
244 (76-540) |
342 (ND-705) |
Mbi and Mbome, 1991 | |||
| Cameroon |
oyster |
113 (ND-181) |
209 (ND-716) |
Mbi and Mbome, 1991 | |||
*) Values converter in weight by dividing original values in dry weight by 3. ND= Not detected
e. Causal chain analysis
Figure 19: Causal Chain Analysis: Deterioration in water quality (chronic and catastrophic), Pollution from Land and Sea Based Activities, eutrophication and harmful algal blooms.

f. Sectors and Stakeholders
g. Supporting Data
Human activities have adversely impacted the coastal and marine environment of the region leading to reduction in the amenity value, loss of biological diversity, degradation of the water quality, poor sanitation and negative effect on human health. The main sources of pollution in the coastal areas of the GCLME are from Land Based Activities and include:
· "point" sources - municipal wastewater (e.g. sewerage and solid waste) and industrial wastewater containing organic loads, heavy metals and nutrients.
· "nonpoint" sources - agriculture runoff, such as sediment/silt, salts, and agro-chemicals (pesticides, herbicides, and fertilizers); urban runoff; mining, such as mine dumps, tailings, and chemicals; forestry management (logging and clear cutting increase surface runoff and reduce groundwater replenishment); airborne particulates.
Even though the level of industrial development is still low in GCLME region, the rate of industrialization is increasing along the coastal areas. As an example, an estimated 60 per cent of the industries in countries bordering the Gulf of Guinea countries are located in coastal cities (UNDP/GEF, 1993), in particular in Nigeria, Côte d'Ivoire, and Ghana. These industries consists of oil refineries, petrochemicals, pharmaceuticals, textile, leather, food & beverage and plastic industries. Mining operations produce large residues that are discharged into coastal waters, for example, large quantities of phosphate residues in Cote d’Ivoire and Togo from the phosphate industry.
Table 25:Estimated quantity of pollutants discharged to the ocean from industrial sectors in some GCLME-Cote d’Ivoire, Ghana, Togo, Benin (Tons per year)
|
Type of Industry |
BOD5 |
SS |
Oil & Grease |
COD |
Ammonia nitrogen |
Phenols |
Total chromium |
Fluoride |
Cyanide |
Total Phosphorus |
|
Petroleum refining & handling |
537.0 |
314.2 |
204.5 |
1496.3 |
111.4 |
2.6 |
6.8 |
|||
| Edible oils |
1828.6 |
1599.0 |
1148.0 |
4575.6 |
||||||
| Beer |
2007.4 |
930.9 |
2204.2 |
|||||||
| Soft drinks |
241.6 |
332.1 |
605.9 |
|||||||
|
Soap & detergents |
93.6 |
159.5 |
11.2 |
234.0 |
||||||
| Textiles |
684.5 |
752.2 |
8519.2 |
12.1 |
12.1 |
|||||
| Paint |
0.5 |
0.9 |
1.5 |
|||||||
| Flour |
57.7 |
51.3 |
144.7 |
|||||||
| Diary products |
189.0 |
283.5 |
483.0 |
|||||||
|
Fruits & vegetables |
82.1 |
101.3 |
204.8 |
|||||||
| Meat |
1.4 |
2.2 |
0.7 |
3.4 |
||||||
| Fertilizer |
23525.9 |
0.9 |
6.3 |
2330.8 |
7063.0 | |||||
| Asphalt |
27.8 |
22.4 |
9.1 |
164.1 |
16.2 |
0.2 |
0.5 |
|||
| Steel |
14.4 |
4.4 |
36.6 |
0.6 |
9.0 |
|||||
| Aluminum |
1874.4 |
0.6 |
1250.2 |
|||||||
|
Metal plating & coating |
44.6 |
1.1 |
2.2 | |||||||
| Cement |
1355.0 |
3400.3 |
||||||||
| Coffee |
1875.0 |
150.0 |
4686.0 |
|||||||
| Cocoa products |
329.7 |
288.3 |
207.0 |
824.9 |
||||||
|
Wood products (plywood, veneers, lumber) |
13.2 |
33.2 |
2.6 |
|||||||
| TOTAL |
9511.3 |
31731.5 |
1585.8 |
28050.7 |
1705 |
181 |
200 |
3582.1 |
9.0 |
7065.2 |
Source: UNEP, 1982. Regional Seas Reports & Studies. No 2.
Both the increasing rates of the urban population growth (with an average 4-7 per cent growth rate) and the industries have created negative synergies in terms of human and environmental impact along the coastal regions. A variety of pollutions from sewage, garbage, industrial and solid waste disposal, oil spills from shipping operations can be found in increasing amounts in the municipal sewage The deterioration of water quality is one of the most important aspects of environmental degradation occurring in the coastal, marine and freshwater areas in the WACAF region. This deterioration is exacerbated by the often untreated domestic sewage and industrial effluents and being discharged directly into coastal waters. The total annual biochemical oxygen demand (BOD) load from municipal sewage was estimated in 1984 to be 62,535 tons inthe northern zone, 205,612 tons in the middle zone and 20,314 tons in the southern zone (Table 18 above).
From industrial pollution, total annual BOD for the region was estimated for the same period to be 47,269-tons (Table 18). Various analyses of the water have shown that most of these discharges contain a heavy load of nutrients, pathogens, micro-organisms, organic material, sedimentary particulates, and also trace metals and synthetic compounds. This type of pollution maybe even more severe and have more negative impacts around the most industrialized large urban cities: Lagos, Abidjan, Conakry, Accra etc. Indeed, in these large cities, most of the pollution originates from BOD5 (12 per cent), total suspended sediments (21 per cent) and chemical oxygen demand (COD, 46 per cent).
![]() |
Figure 20: Waste Water generation by Industries in Ghana (EPA, 2000)
Organic pollution has resulted in eutrophication and, as reported for the Korle and Chemu II lagoons in Ghana and several bays of the Ebrie lagoon in Cote d’Ivoire, in nea total oxygen depletion (Acquah, 1998a; Ajao, 1996; Awosika and Ibe, 1998; Biney, 1994; Dufour et al., 1985 & 1994; Gordon, 1998; Guiral, 1984; Guiral et al., 1989). Nutrient loading has direct impact on productivity, fisheries and water quality and is central to the general ecological functioning of the coastal ecosystem. This is especially true of the Gulf of Guinea region where nutrient loading of the coastal water bodies has had a direct negative impact on the fisheries and water quality and caused outbreaks of water-borne diseases (Acquah, 1998a; Ajao and Anurigwo, 1998; Dosso et al, 1984; Duchassin et al., 1973; Dufour et al., 1985; Kouassi et al., 1990; Metongo et al., 1993). The lack of oxygen on the bottom of shallow areas impacted by eutrophication has also led to massive loss of bottom living animals. For instance, eutrophication of Nigeria’s coastal lagoons, rivers and streams induced the explosive growth of water hyacinth in the early 1980s covering nearly 800km and severely impeding fishing activities and transportation. The 1990 World Bank estimate for water hyacinth control in Nigeria is US$ 50 million annually.
Table 26: Pollution Loads from Land Based Activities in Ghana.
![]() |
Table 27: Pollutant load and discharges from sewage and domestic effluents in Cote d’Ivoire (Metongo, 1997)
|
Discharges Volume (m3/year) |
BOD5 t/year |
DOC t/year |
TSS t/year |
Nitrates t/year |
Phosphates t/year | |
|
Houses connected in the sewer system |
67.500 |
18.222 |
40.700 |
18.500 |
3.052 |
370 |
|
Houses not connected in the sewer system |
97.100 |
91.797 |
212.864 |
212.864 |
||
| Total |
164.600 |
110.019 |
253.564 |
231.364 |
3.052 |
370 |
Table 28: Bacteria concentration in the urban lagoonal environment in Abidjan (Adingra and Arfi, 1997)
| Parameters |
Indicator |
Concentrations | |
| Maximum |
Minimum | ||
|
Fecal Streptococcus |
Bacteria number/ 100ml |
10.000 |
0 |
|
Fecal Coliforms |
Bacteria number/ 100ml |
100.000 |
0 |
|
Total Coliforms |
Bacteria number/ 100ml |
100.000 |
100 |
Table 29: Typical levels of organic pollution of some of the coastal lagoon systems in the GCLME
|
Korle Lagoon, Accra1 |
Chemu II Lagoon, Tema1 |
Lagos Lagoon, Lagos2 |
Ebrie Lagoon, Abidjan3 |
Background4 | |
| DO (mg/l) |
0-6.2 |
0-0.5 |
2.2-9.5 |
n/a |
6.4-6.6 |
| BOD (mg/l) |
4.4 |
71.2-240 |
n/a |
n/a |
3.2-5.5 |
|
PO4-P (mg/l) |
0.86 |
0.59-2.85 |
<0.01-0.5 |
0.06-0.27 |
0.06-0.09 |
|
NH4-N (mg/l) |
3.8 |
1.3-12.6 |
- |
0.18-1.11 |
0.2 |
|
NO3-N (mg/l) |
n/a |
0.2-0.35 |
0.1-0.8 |
0.01-0.28 |
n/a |
|
Total coliform (No./100 mlx 1000) |
635-1,604 |
n/a |
n/a |
0-1,735 |
n/a |
1Sources: Biney (1994) and Acquah (1998a); 2Sources: Ajao (1990), Kusemiji et al. (1990) and Oyewo (1999); 3Source: Affian (1999); 4Values measures for unpolluted lagoons in Ghana (laloi and Mokwe lagoons), according to Biney (1994). n/a: No (reliable) data available.
The agricultural run-off from the irrigation patterns in the river valleys and flood-plains (i.e. interior Niger delta, Volta delta, etc.), including the elevated concentrations of nutrients and pesticides also contribute to increased eutrophication in the estuaries, deltas, coastal and freshwater environments in the GCLME. Moreover, the use of a wide range of persistent organic pollutants (POPs), although the most dangerous of these are banned, including DDT, aldrin and dieldrin and other organo-phosphorous pesticides, increase the water pollution in the region. River inputs carry considerable amounts of sediment, as a result of soil erosion and deforestation which contribute to the siltation of coastal habitats and the decline of water productivity. This phenomenon, combined with the pollutants load, may explain the considerable problems encountered now in most of the freshwater aquatic areas, such as the Côte d'Ivoire, Nigeria and Benin coastal lagoons, with the presence of significant seasonal invasive aquatic weeds.
The other main preoccupation in the GCLME region, as a major source of pollution from land-based activities is constituted by litter, solid wastes, plastics and other marine debris which threaten marine life, degrades the visual amenities of marine and coastal areas, with negative effects on tourism and general aesthetics. This is particularly frequent along the beaches of the main GCLME large cities: Conakry, Abidjan, Accra, Lagos, Luanda, Douala. This situation constitutes a direct consequence of the growing population densities and their increasing poverty, as well as the difficulties for the local municipalities and governmental authorities to continue to provide the populations with adequate basic services (i.e. solid waste final disposal). The loads of trace and heavy metals, oils, hydrocarbons, including other synthetic organic chemicals micro-pollutants out of industrial wastes and effluents, ports and harbours in the Gulf of Guinea is becoming more and more a source of concern for the ecology and the health of the environments. All these major (point and non point) sources of degradation from land-based activities show that norms, adequate legislation, reduction of the various types of waste, discharge treatments, follow-up campaigns as well as public education and awareness are an absolute need for the GCLME region. To this end, the formulation of realistic and coherent strategies which aim at preventing the degradation of the freshwater, coastal and marine environments from land-based activities must be a high priority for the region.
Table 30: Typical levels of heavy metal pollution in some of the coastal lagoon systems in the GCLME
| Sample |
Cd |
Cr |
Cu |
Fe |
Hg |
Mn |
Pb |
Zn |
Reference |
|
Sediment (ug/g dry wt) | |||||||||
|
Lagos Lagoon, Lagos |
0.01-15.5 |
2.9-167 |
1.5-132 |
510-85548 |
98-2757 |
0.4-483 |
7.8-831 |
Okoye et al., 1991, Oyewo, 1999 | |
|
Ebrie Lagoon, Abidjan |
20.7-465 |
3.0-76.3 |
1.3-67.0 |
0.05-0.49 |
24.0-534 |
4.0-88.8 |
5.5-398 |
Arfi et al., 1994 | |
|
Unpolluted sediments |
0.2-5 |
0.01-0.08 |
8-60 |
GESAMP, 1985 & 1998 | |||||
|
Water (mg/l) | |||||||||
|
Korle Lagoon, Accra (median) |
0.24 |
0.31 |
0.08 |
0.08 |
Acquah, 1998b | ||||
|
Lagos Lagoon, Lagos (median) |
0.002 |
0.003 |
0.086 |
0.021 |
0.009 |
Okoye, 1991a | |||
|
Natural sea water levels |
0.005 |
0.003 |
0.003 |
0.02 |
Acquah, 1998b | ||||
|
Shellfish (ug/g fresh wt) | |||||||||
|
Lagos Lagoon, Lagos (median) |
0.18 |
23.6 |
5.1 |
240 |
Okoye, 1991b | ||||
|
Ebrie Lagoon, Abidjan |
0.35-0.95 |
17.5-33.5 |
0.07-0.19 |
608-2115 |
Metongo, 1991 | ||||
| WHO standard |
2 |
30 |
2 |
2 |
1000 |
Kabulu et al., 1987 | |||
Table 31: 1996 international coastal clean-up results for some countries in the GCLME
|
Country |
Debris Collected (pounds) |
Debris collected (kg)_ |
Length of beach cleaned (miles) |
Length of beach cleaned (km) |
| Cameroon |
16,328 |
7,422 |
1.2 |
0.7 |
| Cote d’Ivoire |
5,005 |
2,275 |
1.4 |
0.9 |
| Nigeria |
3,121 |
1,419 |
2.5 |
1.6 |
Source: Awosika, 2002 in LOICZ Reports & Studies No. 25
Table 32: List of categories of debris collected during the 1995 beach clean-up at Victoria Beach, Lagos Nigeria (Total weight of drbris collected: 1,260.9kg)
|
Categories of debris |
Number of pieces |
% Composition of total |
| Plastics |
6,768 |
31.86 |
|
Foamed plastics |
2,161 |
10.17 |
| Glass |
1,462 |
6.88 |
| Rubbers |
1,563 |
7.36 |
| Metal |
2,664 |
12.54 |
| Paper |
3,542 |
16.67 |
| Wood |
2,219 |
10.45 |
| Cloth pieces |
862 |
4.04 |
|
TOTAL |
21,241 |
99.99 |
Source: Awosika, 2002 in LOICZ Reports & Studies No. 25
Oil and Gas though found in only a few countries in the region constitute probably the most important coastal resource in the region. Some of the countries in the region are oil producers and a few (e.g. Cameroon, Gabon and Nigeria) are net exporters. In 1990, production from oil from the coastal zone of Nigeria averaged 1,800,000 barrels per day. The proven reserve base of crude oil in Nigeria is about 18 billion barrels in 1990 rising to about 30 billion in 2002. Other countries with oil and gas reserves include Cameroon with about 65 million metric tons of crude oil, Cote d’Ivoire with 15 billion cubic metres of crude oil. Crude oil has recently beed found in economic quantities in Equatorial Guinea and Sao Tome and Principe.
Table 33: Oil and gas reserves of some countries in the GCLME region (from World Resources 1994-95)
| Country |
Crude Oil (1992) thousand tonnes |
Natural Gas (1992) million tonnes |
| Benin |
117 |
10 |
| Cameroon |
65 |
95 |
| Cote d’Ivoire |
3 |
100 |
|
Equatorial Guinea |
1 |
3 |
| Gabon |
190 |
11 |
| Nigeria |
2,040 |
3,398 |
![]() |
Figure 21: Nigeria Oil production History (Discover a New Nigeria 2000)
Significant point sources of marine pollution have been detected around coastal petroleum mining and processing, releasing quantities of oil, grease and other hydrocarbon compounds into the coastal waters of the Niger delta and off Angola, Cameroon, Congo and Gabon. In the Ebrie Lagos in Cote d’Ivoire (Marchand and Martin 1985) a wide range of concentrations (1000-24000 mg/kg) of total hydrocarbons was found in lagoon sediments. The highest concentrations were associated with industrial and domestic sewage discharges. However, a spill of 400 tonnes of oil at a refinery in 1981 was still clearly detectable in 1983 (Portmann et al 1989). The number of offshore platforms and various export/import oil terminals means an inevitable exposure to oil pollution. About 30 per cent of the approximately 27 oil refineries in the region Africa are located along the coastline. In the largest oil producing countries, such as Nigeria, Gabon, and Angola (Figures…), production is heavily concentrated in offshore and shoreline installations (World Bank Report, 1994). According to the World Bank (1995), oil producing companies in Nigeria alone discharge an estimated 710 tons of oil yearly. An additional 2100 tons originate from oil spills. The patterns of onshore-offshore winds and ocean currents mean that any oil spill from any of the offshore or shore based petroleum activities translate easily into a regional problem. Most of the countries also have important refineries on the coast, only a few of which have proper effluent treatment plants, thereby adding to the threat of pollution from oil.
In total, the major contaminants in the GCLME originate from various domestic discharges and run-offs (including markets, hospitals, etc.) as well as industrial facilities (from breweries, food, textile, wood processing). Domestic sewage and other wastes, but also coastal and upstream non point sources of pollution from agricultural, forestry and hazardous waste sites constitute sources of contamination of the drinking freshwater and the water quality in general, both for the surface and groundwater resources. Indeed, the water quality degradation is generally associated with health problems because of the presence of pathogens and other micro-organisms, excess of nitrates and persistent organic micro-pollutants, etc. Oil, gas and related products predominate mainly in the some countries in the GCLME, and partly along the Nigerian, Gabonese, Congolese and Angolan coasts, where beach pollution by oil in the form of tar balls and oil spills, is frequently observed.
Table 34: Main contaminants and their sources in the GCLME Region.
| POLLUTANTS |
PRODUCING INDUSTRY |
% |
| BOD5 (12 %)* |
Beer Edible oils Textiles Total |
22.0 17.3 15.9 55.2 |
| SS (20.7 %) |
Fertilizer Textiles Edible oils Total |
29.5 23.6 8.8 61.9 |
|
Oil + grease (18.4 %) |
Petroleum refining Edible oilsTotal |
90.0 7.1 97.1 |
| COD (45.7 %) |
Textiles Edible oils Beer Total |
52.0 11.4 7.7 71.1 |
|
Ammonia nitrogen Phenols |
Petroleum refining TextilesWood products Total |
90.7 37.2 31.9 69.1 |
| Total chrome |
Leather Textiles Total |
33.5 33.0 66.5 |
| Fluoride |
Fertilizer Aluminium Total |
59.9 40.0 99.9 |
| Cyanide Total phosphorus |
Steel and fabrication Fertilizer |
100.0 100.0 |
* Estimated mass of pollutant as a percentage of the total amount of pollutants released to the Region.
Source: UNEP, 1984. Reg. Seas Rep.& Studies. 46
In sumarry, results from various studies indicate that as far as pollution from land-based activities is concerned, the major emerging issues and problems in the GCLME region could worsen in the near future if preventive and adequate measures are not taken. Those issues are linked to:
· Increasing sewage and solid wastes of domestic origin and their effects on public health and water quality decline;
· More and more intensive use of recycling nutrients, pesticides, other herbicides and organo-chlorine substances;
· Increasing trace metals, oils, hydrocarbons, including other synthetic organic chemicals micro-pollutants, from industrial activities, ports; and, to an ever increasing extent;
· Atmospheric pollution resulting from gaseous and particulate emissions, from industries and vehicles.
The conclusions from a 1999 UNEP Study on Land Based Activities in the WACAF Region covering the GCLME recommends that it is important to begin any assessment in the region which aims at preventing and/or reducing the degradation of the coastal, marine and freshwater environments, from land-based activities with:
· Localization and quantification of fluxes and substances discharged into the concerned environments;
· An assessment of pollutant quantities in the sediments and in the various organisms, as the same as their propagation;
· An assessment of the degraded areas as well as a socio-economic and epidemiological study of these areas;
· An evaluation of the need for waste water treatments, adequate solid waste final disposal and the use of clean technologies;
· Implementation of an adequate institutional framework as well as efficient regulatory and legislative measures.
The above UNEP study further outlined several strategies to achieve reductions in pollution from land-based activities. The application of integrated coastal area management approaches would constitute a first step in order to reach the goal of reducing pollution from land-based activities in the GCLME. Indeed, some of the GCLME countries (i.e., Benin, Côte d'Ivoire,Guinea, Ghana and Nigeria) have now initiated National Environmental Action Plans (NEAP) through which the Integrated Coastal Areas Management (ICAM) approach could be applied. The present strategies
and actions must be focused on controlling and reducing degradation of the coastal, freshwater and marine environments, as results of land-based activities. The national plans of action and regional plan of action on land-based activities would take into account the priority source-categories from land-based activities and include the needs of the various countries, as well as
the available means, and the possible support elements. Individually, Governments and authorities would be responsible for:
· Installation of adequate sewage systems and outfalls and solid waste final disposal and possible recycling;
· Localization of the industries in less vulnerable areas preceded by environmental impacts assessments;
· Use of clean production technologies and the best port reception facilities;
· Implementation and enforcement, when needed, of the legislation;
· Land-use planning and the improved application of agro-chemicals, including whenever possible, nutrient recycling;
· Finding other alternatives, in view of the possible impacts of POPs;
· River basin and coastal watershed sustainable management;
· Coastal and marine resource surveillance, including adequate aquacultural methods and practices;
· Improvement of oil production and implementation of contingency plans, including MARPOL, for the region
All these actions need to be accompanied by continuous campaigns to sensitize major groups, ensuring public awareness and the involvement of all actors, including local populations, non-governmental organizations and stakeholders.
Problem (iv) : Habitat destruction and alteration, including inter alia modification of seabed and coastal zone, degradation of coastscapes and coastline erosion.
a. Status of the problem/issue
The physical destruction of coastal habitats, including critical wetlands in the GCLME, is causing the loss of spawning and breeding grounds for most living resources in coastal waters and the loss of the rich and varied fauna and flora of the region including some rare and endangered species. Much of the destruction is related to often haphazard physical development which exert phenomenal pollution pressures on this international body of water (WACAF Intersecretariat Co-ordination Meeting, Rome, 1993). Coastal geomorphological change, erosion and sedimentation have been identified as a significant and progressive impact in all the countriews in the GCLME, the problem being acute on the lagoon systems.
Human settlements are regarded as a major contributor to eutrophication and the occurrence of aquatic weeds in the GCLME and its marine catchments Basins. Nearly all major cities, agricultural plantations, harbours, airports, industries as well as other aspects of the socio-economic infrastructure in the region are located at or near the coast. Results obtained during the Pilot Phase GOG-LME Project showed that in Ghana, 55 percent of the mangroves and significant wetlands around the greater Accra area has been decimated through pollution and overcutting. In Benin, the figure is 45 percent in the Lake Nokoué area, in Nigeria, 33 percent in the Niger Delta, in Cameroon, 28 percent in the Wouri Estuary and in Côte d’Ivoire, about 60 percent in the Bay of Cocody. The Congo Democratic Republic coast, which extends for 37 km along the Atlantic ocean, is characterized by a mangrove environment. Some fauna are today seriously endangered, particularly the manatee, the marine turtle and many migratory birds. The production of charcoal from mangrove woods and the pollution caused by hydrocarbon discharge generate serious problems for these forms of critical habitats. The mangrove losses have been estimated at almost 40 per cent of the total surface mangrove areas at the mouth of the Congo river (UNEP, 1999).
b. Transboundary elements
Although most impacts may appear localised, habitat alteration or loss due to fishing, coastline erosion and crude oil extraction and mining can cause migration of fauna and system-wide ecosystem change. Uncertainties exist about the regional cumulative impact on benthos resulting from coastal erosion, mining and associated sediment re-mobilisation. Moreover, certain mining activities including sand mining and crude oil exploration and extraction are conducted close to national boundaries and negative consequences may be transmitted across into the adjacent country’s EEZ. Inadequately planned coastal developments result in degradation of coastscapes and reduce the regional value of tourism.
c. Environmental impacts
d. Socio-economic impacts
Coastal vegetation in the region has been decimated by both natural and anthropogenic activities to the extent that a large percentage of the primeval vegetation has been replaced with new species. Modification of the ecosystem in Nigeria, for instance, is a result of man-made and natural activities. While 30% of the modification is caused by natural activities, the remaining 70% are caused by man-made activities (Awosika et al, 2001). The natural causes of the modification are storm surge, sea-level rise, salt-water intrusion, subsidence and flooding. The man-made causes are changes in land development and unsustainable exploitation of ecosystem resources. These causes are linked to activities in eight sectors, namely urbanisation (25%), energy production (5%), fisheries (10%), agriculture (15%), mining (10%), fishery (15%), industry (10%) and leisure/tourism (10%). Activities that result in changes in land development are linked to urbanisation (25%), agriculture (15%), mining (10%) and forestry (15%) sectors (Awosika et al, 2001). As at 1980 about 60% of the mangroves in Guinea and nearly 70% of the mangrove vegetation in Liberia were reported to have been lost (Awosika, 2002). The Congolese coast, which extends for 37 km along the Atlantic ocean, is characterized by a mangrove environment. Some fauna are today seriously endangered, particularly the manatee, the marine turtle and many migratory birds. The production of charcoal from mangrove woods and the pollution caused by hydrocarbon discharge generate serious problems for these forms of critical habitats. It is estimated that the mangrove losses are almost 40 per cent of the total surface mangrove areas at the mouth of the Congo river (UNEP, 1999). The original mangrove vegetation in these countries has now been replaced by the hardy grass Paspalum vaginatum.
Coastal erosion is the most prevalent coastal hazard in the GCLME region. In Nigeria, coastline erosion causes serious concerns because it uproots coastal settlements, decimates agricultural and recreational grounds, destroys harbour and navigation structures, dislodges oil producing and export handling facilities and upsets the hydrological regime in the coastal areas (Ibe, 1988). The same scenario is evident in all the other countries of the GCLME. Although natural causes like low coastal topography, high wave energy and nature of sediment are responsible for these high rates of erosion, anthropogenic activities such as construction of harbour protecting structures, jetties, beach sand mining, constrcuction of dams upstream and deforestation are mostly responsible for the high rates of erosion. Harbour construction activities have altered longshore current transport of sediments and in many cases have led to major erosion and siltation problems. Erosion rates caused by port structures in Liberia, Togo, Benin and Nigeria sometimes reach a staggering 15-25 m per year and threaten infrastructure and services (Ibe and Quelennec, 1989). Typical areas of erosion include:
· Guinea: Murdy and Sexton (1986) reported erosion phenomena in the northern part of Camagenne Peninsula. Widespread erosion has also been reported along the Koba area especially at the mouth of the canals dug to drain excess water from the rice fields to the ocean;
· Sierra Leone: Collins et al. (1983) reported widespread erosion between Freetown and the eastern border especially off Sherbro Island ;
· Liberia: Coastal erosion along the Liberian coast has been reported along cities like Buchaner, Greenville, Harper and Robertsport. Around the Organization of African Unity (OAU) Beach, Shannon (1990) reported erosion rates of 3 m annually;
· Cote d’Ivoire: The La Vigie area with its coastal residential area of “Les Tourelles”and Adjoufun suffered extensive damage from erosion and flooding during the summer storms of 1984. Koffi et al. (1990) reported coastal erosion rates of 1-2 m annually along the south-eastern coast (Fresco, Vridi, Port Bouet to Ghana border). High erosion rates have been reported in the areas off the Abidjan harbour;
· Ghana: Along the Labadi Beach, an erosion rate of 3 m per year was reported between 1966 to 1975. At Ada near the Volta estuary erosion rates of 2.2 to 2.4 m annually have been reported between 1939 and 1976. Along the Keta coast, erosion rates of 4 m to 6 m per year between 1923 to 1975 have also been reported;
· Togo: East of the Lome harbour an erosion rate of 20 m per year has been reported while the updrift western side has accreted so much that it is threatening to silt up the entrance to the Lome port. The coastal road at Amelo has also been washed away as a result of the erosion;
· Benin: Erosion is very prevalent along Grand Popo, Seme and east of the Cotonou harbour. According to Adams (1990) erosion was sparked off with the construction of piers around the coastal areas of Kpeme factory, Aneho town, L.M. Hotel and Hotel da Silva. The New Town scheme, which was supposed to be a residential “Hollywood”of Benin, has been devastated by erosion. Many of the roads, houses and other facilities constructed for the residents now lie under the sea;
· Nigeria: Erosion rates of 25 to 30 m annually have been documented along Victoria Beach in Lagos (Ibe et al. 1984). Although about six sand nourishment projects, including one completed in 2001, have been implemented on the beach since 1958, erosion continues to wash off large parts of the coast. Other areas where erosion has been very devastating along the Nigerian coast include Forcados 20 m per year, Brass 16-19 m per year, Eket 10-13 m per year and Awoye along the Mahin mud beach 20-30 m per year (Ibe, 1986);
Losses of biodiversity or biological functioning witnessed in the GCLME have also been related to complex ranges of human and natural drivers fuelling habitat degradation and alteration and coastal erosion. The concerns about the hazards and economic loss occasioned by erosion has resulted in intermittent calls for countries of the region with the assistance of donor agencies to adopt one or more of the known coastal erosion defence measures to stem the phenomenal retreat of the coastline (Ibe, 1988). Actions to control erosion around these ports are critically important to maintaining their vitality as sites for growing tourist, recreational, commercial and defence needs. Efforts in the past at abating the nuisance of erosion of the coastline consisted mainly of sand replenishement programmes (especially in Nigeria) using sand either from forshore or the backwaters. These failed to solve the problem as erosion has continued to devastate the coastline beyond each pre-nourishment limits (Ibe, 1988). A review of the situation in Nigeria by Ibe (1988) has traced the failure of this measure to an inadequate knowledge of the inter-relationship between nearshore ocean dynamics and shoreline evolution along the Nigerian coast.
Table 35: Average Annual Erosion Rates and study sites* along the Nigerian Coastline computed from results of Historical Studies and/or Beach Profiling (Ibe, 1988).
|
Location |
Rates of Erosion per year (metres) |
|
Badagry Beach (Lagos State) |
2-6 |
|
Victoria Beach (Lagos State) |
25-30 |
|
Awoye/Molume (Ondo State) |
20-30 |
|
Ogborodo/Escravos (Bendel State- now Delta State) |
18-24 |
|
Forcados ((Bendel State- now Delta State) |
20-22 |
|
Brass (Rivers State- now Bayelsa State) |
16-19 |
|
Ibeno-Eket (Akwa Ibom State) |
10-13 |
* Periodic sandfilling of the beach in some of these locations e.g. Victoria Beach and Forcados has prevented them from becoming disaster areas.
e. Causal chain analysis
Figure 22: Causal Chain Analysis: Habitat destruction and alteration, including inter alia modification of seabed and coastal zone, degradation of coastscapes and coastline erosion.

f. Sectors and Stakeholders
g. Supporting Data
The Guinea Current region has one of the highest population growth rates in the world leading to population explosions in the cities. Stemming from the regions early association with the Europeans and its history of trade using the oceans, most of the capital cities are within or around the coastal areas. The cities have also been major attractions for industries as well as for migrant workers fuelling rapid rural to urban migration and increasing the populations in the coastal areas with all its adverse impact on the resources of the area. These developmental activities are leading to major changes and pressures from an increasing population in the coastal areas of the GCLME have resulted in habitat degradation and alterations including loss of biological diversity and productivity, pollution and degenerating human health.
The most obvious of these developmental changes are the actual construction of towns with associated industries and the creation or extension of sea ports (Portmann et al 1989). Although these are confined to a few locations they are frequently close to areas which are or could be exploited as tourist centres and there have been instances where hotels have been constructed and then affected by expanding towns or coastal erosion brought about by port developments.
Table 36: Populations in the coastal zone in relation to country population and area (from Africa: A Framework for ICZM 1996)
| Country |
Country pop. 1994 (millions) |
Coastal pop. 1994 (millions) |
Coastal pop. As % of country pop. |
Country area (km2) |
Coastal area (km2) |
Coastal area as % of country area |
| Angola |
11.53 |
2.89 |
25.07% |
1,245,828 |
95,410 |
7.66% |
| Benin |
5.18 |
1.86 |
35.91% |
116,266 |
7,248 |
6.23% |
| Cameroon |
13.22 |
1.57 |
11.88% |
465,425 |
29,378 |
6.31% |
| Congo |
2.32 |
0.35 |
15.09% |
345,196 |
11,538 |
3.34% |
| Cote d’Ivoire |
13.5 |
3.74 |
27.7% |
322,770 |
32,843 |
10.18% |
|
Equatorial Guinea |
0.39 |
0.21 |
53.85% |
27,207 |
13,414 |
49.30% |
| Gabon |
1.56 |
0.65 |
41.67% |
261,764 |
53,060 |
20.27% |
| Ghana |
16.7 |
5.47 |
32.75% |
239,312 |
27,644 |
11.55% |
| Guinea |
6.24 |
1.35 |
21.63% |
245,156 |
25,175 |
10.2% |
| Guinea Bissau |
1.09 |
0.87 |
79.82% |
33,101 |
22,351 |
67.52% |
| Liberia |
2.9 |
1.3 |
44.83% |
96,826 |
31,477 |
32.51% |
| Nigeria |
97.23 |
19.29 |
19.84% |
913,612 |
65,880 |
7.21% |
|
Sao Tome and Principe |
0.13 |
0.13 |
100.00% |
856 |
856 |
100.00% |
| Sierra Leone |
4.55 |
2.15 |
47.25% |
71,706 |
25,802 |
35.98% |
| Togo |
4.05 |
1.37 |
33.83% |
57,334 |
4,570 |
7.97% |
Table37: Land area and population density of coastal states in Nigeria-1992 Census (In Coastal Profile of Nigeria, 1997)
| STATE |
1992 CENSUS |
AREA (sq. km) |
DENSITY (head/ km2 |
| DELTA/EDO |
4,730,029 |
35,500 |
133 |
|
CROSS RIVER/AKWA IBOM |
4,225,340 |
27,237 |
155 |
| LAGOS |
5,685,781 |
3,345 |
1,700 |
| OGUN |
2,338,570 |
16,762 |
140 |
| ONDO |
3,884,485 |
20,959 |
185 |
| RIVERS/BAYELSA |
3,983,857 |
21,850 |
182 |
One of the severely affected habitats is the mangrove ecosystem. The GCLME region is endowed with large expanse of mangrove forests scattered all over the region. The mangrove ecosystem of the Niger Delta in Nigeria is the third largest in the world providing spawning and breeding grounds for many transboundary fish species and shrimps in the region. The mangrove forests in the region presently are under pressure from over-cutting (for fuel wood and construction timber) and from other anthropogenic impacts (e.g. pollution), thereby jeopardizing their roles in the regeneration of living resources and as reservoirs of biological diversity (Ukwe et al 2001). Mangroves are also being affected by erosion, either directly or indirectly, by changes in salinity and through the construction of canals. The canals, intended for use as transport pathways, have increased suspended solids in the water leading to destruction of some benthic fauna. This is followed by more permanent damage as the hydrological regime and salt intrusion alters and the spoil banks impede land run-off.
There are substantial numbers of coastal protected areas in the GCLME region, although for many it has been difficult to determine how far the boundaries extend and to distinguish whether marine elements are included. Nevertheless, an attempt has been made to identify those having some marine focus and which are primarily coastal land (World Bank/IUCN, 1995). There are no known marine or coastal protected areas in Benin, Ghana, Guinea, Liberia, Nigeria and Togo. Several countries in the GCLME such as Ghana and Guinea have designated Ramsar sites, although they have no formal protection.
Table 38: Number of Existing Marine Protected Areas in the GCLME region (adapted from World Bank/IUCN 1995)
|
Country |
Marine Areas |
Coastal Areas |
|
Angola |
3 |
1 |
|
Cameroon |
1 |
1 |
|
Congo |
1 |
0 |
|
Cote d’Ivoire |
3 |
0 |
|
Congo Democratic Republic |
1 |
1 |
|
Equatorial Guinea |
3 |
0 |
|
Gabon |
1 |
1 |
|
Guinea Bissau |
1 |
4 |
|
Total |
14 |
8 |
Nearly all the main rivers of the Guinea Current region have been damned in at least one location, most of them in the last twenty years or so (UNEP/UNESCO/UN (DIESA), 1985). The dam on the Volta river, for instance, eliminated the regular flooding in the wet season ands as a consequence several lagoons, which used to be refilled in times of flood, have been lost (Portmann, et al, 1989). A particular concern in the region has been the effect on sediment transport to the sea. In Nigeria, for instance, there are now eleven River Basin Authorities manipulating the hydrological cycles and it is estimated that the construction of their dams has resulted in a 70% loss of sediment catchment area, due to the effective entrapment of silt behind dams (Leeming, 1985; Olofin, 1985). In some cases the loss of sediment input is blamed for coastal erosion which has occurred since the construction of some dams. A particular serious case followed the damning of the River Volta with the partial disappearance of the town of Keta (UNEP/UNESCO/UN (DIESA), 1985). Similar problems have been reported in the Niger Delta of Nigeria (McDowell et al, 1983; Ibe and Antia, 1983).
Table 39 : Dams in Nigeria summarized state by state (Ibe, 1988)
| State |
Number of Dams |
River |
| Anambra |
4 |
Nkisi, Effiwa, Abina, Ezamgbo |
| Bauchi |
6 |
Zala, Jamara, Gongola and 3 others |
|
Bendel |
3 |
Oyeni, Ikpoba, Orle |
|
Benue |
1 |
Benue |
|
Borno |
2 |
Ngadda, Yedacram |
|
Cross River |
1 |
Abep |
|
Federal Capital Territory |
1 |
Usuma |
|
Gongola |
1 |
Mayozanpola |
|
Kaduna |
17 |
Tubo, Galma (2); Damari, Tagrai, Dutsin ma, Kusheriki, Galma, Kangimi, Bomo (2), Gurara, Kubani, Sokoto, Tura, Raffin, Jamuna, Kurmin Bi, Chidaviki |
|
Kano |
30 |
Watari, Jakara, Gari, Kara, Baguada, Karaja, Kano, Guzu, Magada, Challawa, Tomes, Tuwari, Dudurun Warrada, Jalau, Tuwara, Kanya, Marashi, etc |
|
Kwara |
5 |
Oyun, Erigi, Oyi, Kampa and 1 other |
|
Niger |
13 |
Chauchanga, Lugai, Iku, Etswan, Oba kegi, Datatisaini, Dinya, Niger, Enika, Kontagora |
|
Ogun |
2 |
Ona, Oyan |
|
Oyo |
20 |
Ebu, Soro, Osse, Omi, Yegun, Oshun (2), Ona, Fofo, Ayida, Opeki, Erinle, Awon, Ofin, Oba, Ara, Alge, Omi, Ogun |
|
Plateau |
9 |
Idyem, Shen, Ravin sanyi (2), Kwalgwal, Lamingo |
|
Sokoto |
17 |
Niger, Sokoto, Gar mache, Rima (2), Tributary to River Gagara, Karaduwa, Gada (2), Kurfi (2), Gagoro, Kigo and 2 others |
Source: National Inventory on Dams issued by the Department of Water Resources in 1986.
NOTES:
1) Four states Imo, Rivers, Lagos and Ondo have no registered dams. Two States Katsina and Akwa-
Ibom carved out of old Kaduna and Cross River States in September 1987 had not been created when
this list was compiled.
2) A vast majority of the dams are earth dams, others are concrete.
3) Most of the dams are for water supply and irrigation. Some are for Fishery and Recreation
purposes. Others are multipurpose.
The reduction of freshwater and sediment discharge in the lower estuarine reaches of the rivers due to dam construction have altered the extent of intrusion of the estuarine salt wedge inland. This has important ecological effects on the flora and fauna of the coastal and nearshore zone in the region. Ibe (Pers Comm.) pointed out that the reduction in freshwater flow has been accompanied by a reduction in inputs of nutrients to the coastal areas leading to significant losses in local fish catches from some parts of the Nigerian coast. A further, more specific instance followed the impoundment of the Volta River in Ghana in which the alteration in the salt wedge intrusion resulted in the displacement seawards of the economically important bivalve Egeria radiate, by about 20 km (Ennin and de Graft-Johnson, 1977) in the first decade after completion of the dam. Breeding grounds now occur less than 10 km from the sea (Portman et la 1989). Other effects noticed include the seasonal spread of freshwater vegetation such as Vallisneria aethiopica, Potomogeton octamebers and Ceratophullum demersum, as well as the snail hosts of Schistosomiasis (Odei et al, 1981).
Another important anthropogenically induced alteration of land-use is brought about by reclamation of coastal marshland areas (Portman et al, 1989). In 1984 alone, extensive dredging of the Lagos estuary and the deposition of the spoil in adjoining mangrove swamps led to high suspended solids in most of the embayment and severe damage to the oyster fisheries (Ibe, Pers. Comm.). The development of port facilities, especially jetties and breakwaters, and the construction of oil rigs for exploration and exploitation of crude oil have interrupted long-shore drift patterns causing striking coastal erosion problems. For example, at Lagos in Nigeria, Victoria Beach has been eroded 2 km inland since the breakwaters were completed in 1912 (Ibe, 1985). Equally striking is the erosion of 0.5 km at Escravos (also in Nigeria) since breakwaters were completed in 1964 (Ibe, 1986). Similar problems were created at the Port of Abidjan when the Canal de Vridi was opened in 1950; since then the beach has eroded to the east of the canal and a road has been cut through (Portmal et al, 1989). Similar serious erosion problems have nee reported in Benin, Togo, Sierra Leone and Liberia (Abban 1986). Coastal areas in the GCLME region are thus, experiencing coastal degradation in the form of coastal erosion, flooding, deforestation, salt-water intrusion and subsidence. Coastal erosion is widespread along most of the low lying and even along some of the cliffed coastline of the region. Erosion rates of up 25 to 30 metres a year have been witnessed in some countries principally the Victoria Beach in Lagos Nigeria (Ibe, and Quelennec, 1989).
The physical alteration and habitat modification of the GCLME coastal region through natural and man-made erosion processes is, in essence, one of the predominant problems of the region. Some significant examples of coastal erosion in West and Central Africa have been given by R. E. Quelennec, 1987:
· In Liberia, with a mean recession of 2m per year at Monrovia. Coastal erosion has been severe in Monrovia, in Buchanan and Greenville as a result of land-based activities. Between 1981-1997, about 100m of beaches have been lost.;
· In Côte d'Ivoire, with spectacular coastal recession at Port Bouet (more than 10m in 2-3 days, when the phenomenon was aggravated by the construction of the Vridi canal);
· In Ghana, with an average of more than 6m/year West of Accra, since the construction of the Akosombo dam, with the present aggravation of the coastal retreat around Keta;
· In Togo and Benin, and due to the construction of the large breakwaters for the Ports of Lome and Cotonou, coastal retreat has sometimes exceeded 150m in 20 years, East of Lome; retreats of more than 300 to 500m had been observed East of the port of Cotonou;
· In Nigeria, particularly, around Victoria beaches, where recession of more than 500 m have been recorded since the construction of the Lagos Harbour in 1907;
· In Gabon and in Angola, occurrences of rapid downslides at the northern part of Cape Lopez, littoral of Gabon and very often long sand spits (restingas) breached along the Angolan coast, have been recorded. Between Luanda and Lobito, coastal erosion has already caused considerable damage. In some localities such as Porto Amboim and Sumbe, coastline retreat has been estimated to between 2-3 metres per year, with the collapse of multiple structures, for example, in Sumbe. The same phenomenon has been noticed in Luanda where areas situated in low topographical areas near the coastline of Mussulo island have been completely destroyed by the erosion.
Coastal erosion process, especially on the sandy or muddy littoral, constitutes one of the main factors of the degradation of the Guinean coast. Studies undertaken by the Centre de Recherches Scientifiques de Conakry/Rogbane (CERESCOR) have shown rapid recessions of the shoreline. The most affected areas are situated in Koba in the northern part of the coast, Tabounsou in the southern of the coast and in the vicinity of the Conakry peninsula area; in Koba and Tabounsou, more than 1.8 m per year of coastal retreat have been reported. As a result, there is a serious threat to tourist infrastructures on the coast as well as some residential constructions built along the shoreline (UNEP, 1999). Among the causes of this erosion, we can identify the process of sand mining on the beaches for construction purposes. A large part of the coastal erosion process increase is due to hydrodynamic and morpho-sedimentary effects as well as human activities (construction of protection dikes around Conakry harbour, dredging of channel access, coastal sand mining, anarchical occupation of the littoral by various constructions). These natural ecological or human modifications can lead, if they persist, to biological diversity losses and even to the degradation of the entire ecosystem.
Coastal erosion in Sao Tome, particularly in the southern part of the country, has reached an alarming rate (UNEP, 1999). Some infrastructures (roads, housing, etc.) are seriously threatened. Studies to be undertaken would seek possible options in terms of costs for reducing, in the short term, the threat of coastal erosion phenomenon. Beach mining is also cause for concern. The Government has banned sand mining along the islands’ beaches, with only a few exceptions. Intensive beach sand mining poses an ecological threat to the equilibrium of critical habitats such as the mangroves or estuaries ecosystem;
One of the most serious problems of the Togolese coast is that of coastal erosion. Over an area of approximately 35 kilometres, between the port and the protected sector, the coast retreats by approximately 10m per year due to the sedimentary deficit caused by the port (and its dike) which blocks the sediment transit on its western side and causes the coastline to retreat in the eastern part of the port of Lome.
Furthermore, the sporadic opening of the lagoonal pass near Aneho as a result of storm waves and the lagoon flood pressure allows the penetration of marine waters which disturb the ecosystem of the Togolese brackish lake. However, the brackish lagoonal waters provoked by freshwater contribution from the Mono river leads to an ecological disequilibrium. These variations in the quality of the water contribute to the change in the habitats of various areas. The littoral of the GCLME region has been (and continues to be) subject to significant coastal erosion processes, linked to natural and man-made causes. The consequences can be sometimes tremendous, with loss of infrastructures, houses, roads, etc.
The failure of past beach replenishment efforts has led to recent calls for the implementation of certain so called “permanent” solutions to stabilise the coastline. Such alternative stabilisation measures include the construction of sea walls, bulk heads, revetments, groins, attached and detached offshore breakwaters etc. However, experience from other parts of the world where such stabilisation measures have been applied without adequate appreciation of the fundamental principles of shore processes, show that they have generally performed poorly in protecting the coastline from retreat and destruction. Attempts to modify coastal changes to halt erosion requires an appreciation of the factors at work in the coastal morphogenic system; the patterns of change, the sources of the sediments; the paths of sediment flow; and the quantities involved over a given period of time. Such knowledge, which is available in some countries of the GCLME, enables the effects of various kinds of erosion control measures to be predicted and offset, or allowed for, in coastal engineering works (Bird, 1967). Such studies as described above leading to the choice and design of appropriate coastal defence measures must necessarily be site specific. The cote d’Ivoire National demonstration project under the GCLME would implement innovative low cost technology options for the control of coastal erosion with a potential for replication in the other countries.
In Nigeria, for instance, aware of the importance of knowledge on coastline geomorphology and processes in coastal erosion defence planning but recognising a near dearth of such information in any coherent form, the Nigerian Institute for Oceanography and Marine Research embarked in 1981 on a five year (1981-1988) project on the Nigerian coast titled “Beach Erosion in Nigeria”. The primary objective was, in addition to measuring the erosion rates at various sectors of the coastline, to build, even if at a preliminary level, a bank of such influencing conditions as velocity and direction of winds relative to shoreline alignment, the nature of storm or near storm activity, the wave climate, the geomorphology of the coastline, the sediment characteristics, the nature of onshore and offshore topography etc, that are absolute pre-requisites to meaningful model studies of erosion problems and measures to combat them (Ibe, 1988). Part of the study also included the impacts of human activities (an assessment of the impact of human interferences with nature) such as the location of artificial structures along the coastline, the construction of dams upstream of rivers that supply sediments to the coast, the mining of sand both from coastal rivers and the offshore as well as directly
from the beaches, the haphazard extraction of fluids(including oil and gas) from the coastal zone, and even the implementation of certain coastal erosion defence measures. As a result of the notable progress recorded in the study, the Government provided extra funds for the project to proceed beyond the original terminal date of 1985 and into the next Development Plan Period (Ibe, 1988).
Problem (v) : Loss of biotic (ecosystem) integrity (changes in community composition, vulnerable species and biodiversity, introduction of alien species, etc.)
a. Status of problem/issue
The most significant changes on the abundance of fish species in the region are fluctuations in sardinella species, dramatic increase in the abundance of triggerfish (Balistes capriscus) between 1973 and 1988 and the decline of the species since 1989 (Koranteng, 2001).
Occassional changes have been witnessed in the biodiversity of the region. The Bivalves species (Chlamys opercularis) was caught in large quantities as never before during a trawl survey conducted in 1998. It has been suggested that the bivalve species may have been introduced into the region through ship ballast water. These changes in biodiversity have been attributed to both natural (intensification of the minor upwelling, water temperature changes), increase in salinity of shelf waters (Binet, 1995) and changes in meteorological and other oceanographic conditions (reduction of rainfall, acceleration of winds and alteration of current patterns (Binet, 1995) and changes in nearshore biophysical processes (Koranteng, 2001).
b. Transboundary elements
Most harvested fish species are shared between countries and straddle geopolitical boundaries. Past over-exploitation of targeted fish species has altered the ecosystem as a whole, impacting at all levels, including on top predators and reducing the gene pool. Some species, e.g. sea turtles, are threatened or endangered. Exotic species have been introduced into the Guinea Current Region. (This is recognised as a global transboundary problem).
c. Environmental impacts
d. Socio-economic impacts
Fisheries over-exploitation have led to depletion of commercially important fish species causing changes in the species composition of the GCLME. Fisheries over-exploitation has been attributed to anthropogenic causes namely: increased fishing effort, breeding or nursery zones destruction and natural habitats (mangrove) destruction, and the fall in recruitment due to destructive fishing practices (toxic chemicals utilization) among others. With regard to increased it has been observed that the majority of water resources in Côte d’Ivoire is over-exploited. For example, while the FAO standard for fishermen density is between 2 and 3 fishermen per km², it has been observed 7.5 fihermen/km² and 6.1/km² in some areas such as the Aby Lagoon and the Ayamé lake respectively. The linear density is about 18 fishermen per km along the coastline (N'goran Y.N. 1990; 1995).
Increased nutrient loadings leading to incidences of eutrophication and oxygen depletion has direct impact on productivity, fisheries and water quality and is central to the general ecological functioning of the coastal ecosystem. This is especially true of the Gulf of Guinea region where nutrient loading of the coastal water bodies has had a direct negative impact on the fisheries and water quality. The lack of oxygen on the bottom of shallow areas impacted by eutrophication has also led to massive loss of bottom living animals. For instance, eutrophication of Nigeria’s coastal lagoons, rivers and streams induced the explosive growth of water hyacinth in the early 1980s covering nearly 800km and severely impeding fishing activities and transportation. The 1990 World Bank estimate for water hyacinth control in Nigeria is US$ 50 million annually.
e. Causal chain analysis
Figure 23: Loss of biotic (ecosystem) integrity (changes in community composition, vulnerable species and biodiversity, introduction of alien species, etc.)
![]() |
f. Sectors and Stakeholders
g. Supporting Data
Several environmental factors predispose the Guinea Current Large Marine Ecosystem (GCLME) to fisheries stock levels and species composition. These include hydrography, especially temperature, salinity and other water quality parameters; tidal ranges; upwelling and thermocline regimes; topography, nature of bottom and trawlability; primary and secondary productivity; benthos; associated wet lands, lagoons and their estuarine products and services; terrigenous flush; climate change and variabilities; Inter Tropical Convergence Zone (ITCZ) movements, and wind forcing; as well as rainfall and drought cycles. Oil spillage and other marine pollution, marine debris in addition to nutrient enrichment and eutrophication are major among the anthropogenic factors (Ajayi 2001).
The sudden collapse of the Ghana-Ivoiro sardinella fishery from 95,000 t (over and above 40,000 t predicted MSY) to 2,000t a year and its seeming substitution by Balistes spp., trigger fish recording 200,000 tonnes a year up from nothing at all have been recorded in the GCLME. Off Nigeria, tiger prawns, Penaeus monodon hitherto unknown have become commercial whereas Parapeneopsis atlantica, brown shrimp; diminished in abundance. The fisheries assessment survey cruise conducted during the pilot phase Gulf of Guinea LME project found Chlamys sp in quantities hitherto unrecorded. Without doubt environmental and climatic forcing (Koranteng and McGlade 2002) causative of biomass flips or species succession have to be further researched and factored into management strategies for ecosystem (including species composition and biodiversity) preservation(Ajayi 2001).
There has been a noticeable increase in the incidence of aquatic weed infestation in some of these countries. Aquatic weeds are a real scourge in coastal waters due to the environmental and socio-economic impacts. In Côte d’Ivoire, for a decade, these weeds have invaded coastal sites, drifting with freshwater. The Ivorien government has been aware of the harmful effects of these plants since 1980. The first specie, Pistia stratiotes, was endemic to freshwaters. Then in 1984, a new specie, Salvinia molesta, originated from America, was introduced. In 1986, a third specie, Echornia crassipes, was introduced. Most of the large reservoirs are colonised (Ayamé I and II, Taabo and Buyo), as are the rivers and the lagoons (Ebrié and Aby). Large rafts of E. Crassipes and associated species are carried seaward, and then run aground on the beaches.
Invasion of GCLME coastal waters by aquatic weeds has some negative impacts on the fishing activities and on the fishing zone. Most of the time, the fishing activities are slowed down even stopped for weeks or months until the weeds disappeared. It is difficult, even impossible, to use casnets or mesh nets for fishing. The setting of traps is also difficult because of the inaccessibility of most of the fishing zone. This phenomenon is common in the Aby Lagoon where the boats cannot dock. Furthermore, the aquaculture systems such as the acadjas established in the lagoon cannot be exploited because the entire surface of the lagoon is covered with the weeds. It is difficult to estimate the cost of these impacts on fisheries activities.
The periodical invasion of the Ebrié Lagoon by these aquatic plants slowed down the activities in the port (difficulties for ferry boats or other boats to move or to dock in the port, obstruction of the fishing port). Periodically, the same problem is observed in other coastal waters where the riverine rural population have some difficulties to move by boat from one village to another. It is also difficult to estimate the cost of these impacts on the navigation.
One other notable aquatic invasive weed, the water hyacinth, has thrived to the detriment of native species thereby upsetting the ecological balance and the biological diversity of the region. The increased loading of the coastal waters with nutrients have provided a conducive environment for the growth of the water hyacinths which has spread and covered all of the surface water in the coastal areas from the Benin Republic in the west to the Cross river (Nigeria) and to the Cameroons in the east. Since the broadcasting in 1985, this phenomenon has attracted the urgent attention of the governments in the region and that of the Economic Community of West Africa States (ECOWAS) with the organization of public seminars with the attendance of experts from within and outside the region. The Governments have accorded the issues of eutrophication and invasive aquatic species topmost priority in their national planning and have set up national committees for its eradication. Unfortunately, little or no progress have been recorded in these efforts to control eutrophication, harmful algal blooms and invasive aquatic species due to the non-adoption of a transboundary and multi-sectoral approach.
Coastal habitats such as shallow estuaries, bays, lagoons, and wetlands that are often reclaimed or
cleared for habitation, development or agricultural purposes are the most productive of fish, molluscs and nursery grounds for major fish or shellfish. They are therefore critical
habitats, which underpin the regenerative capacity of the fishery of the sea (Ibe, 1993). The Mangroves in the south-eastern Niger Delta, estimated to cover approximately 7000km2 Is the largest in Africa and the third largest in the world. It plays a vital role as producers of nutrients in primary and secondary productivity and in supporting biologically divers communities of terrestrial and aquatic organisms of direct and indirect economic value of transboundary significance. The mangrove ecosystem and associated wetlands are under pressure from overcutting (for fuel wood and construction timber) and from other anthropogenic impacts (e.g. clearing for aquaculture practise) thereby jeopardising their roles in the regeneration of living resources (which translates into a loss reduction of fishery resource) and ‘custodians’ of biological diversity as well as in the restoration of the ecosystem quality (Ibe, 1993). The pressure of a subsistence population has adversely affected these mangroves but the discovery of hydrocarbon in the Niger Delta in the mid 1950s may have been the final straw. However, as a result of the development of large urban centres with significant industrialisation and human incursion into the coastal fronts, the extent of these lagoon mangroves has been reduced and several species that could be expected to occur are no longer to be found (Saenger et al, 1997). In the last decade or so the Nypa Palm, and exotic species has become distributed throughout the Niger Delta invading and replacing native mangrove species and their associated animal species from many mangrove habitats. Its rapid propagation rate however threatens mangroves further in the region with all known negative consequences.Field assessments carried out during the Pilot Phases Project revealed that the rapidly growing Nypa Palm is presently confined to south-eastern Niger Delta. Its rapid propagation rate however threatens mangroves further a field in the region with all the known negative consequences. It has become quite important to clear the invasive Nypa Palm species that has invaded the Niger Delta and degraded its ecosystem and simultaneously restore the original mangrove vegetation as a civic duty to preserve the integrity of this ecosystem with all the promises this actions holds for the shared International Waters and resources of the GCLME.
Table 40: Profile of bio-physical, social and economic indicators
|
Guinea Bissau |
Guinea |
Sierra Leone |
Liberia |
Côte d’Ivoire |
Ghana |
Togo |
Benin | |
|
Length of coastline (km) |
270 |
346 |
570 |
579 |
566 |
550 |
50 |
125 |
|
Surface area (km2) |
36,125 |
245,857 |
72,325 |
96,320 |
322,46 |
238,305 |
56,785 |
112,622 |
|
Area of continental shelf (km2) |
47,400 |
18,400 |
10,200 |
23,700 |
1,300 |
3,100 | ||
|
Width of continental shelf (km) |
87-104 |
16 - 56 |
20 - 35 |
30 - 90 |
21 - 32 |
22-32 | ||
|
Area of EEZ (km2) |
71,000 |
229,700 |
104,600 |
218,100 |
2,100 |
27,100 | ||
|
Population (million) (yr. in brackets) |
1.175 (2000) |
7.8 |
4.5 |
~3 |
16.9 |
18.0 |
4.3/4.8 |
6.2 |
|
Population growth rate (p.a.) |
2.8 |
2.1/3.5 |
3.8 |
2.7 |
3.0 |
2.9 | ||
|
Population by year 2010 |
10.2 |
6.7 |
4.9 |
16.9 (1995) 27.00 |
27.0 |
6.6 |
9.0 | |
|
Total artisanal fishers (1990) |
4,400 |
14,200 |
100,000 |
13,000 |
3,200 | |||
|
Major coastal cities |
Bissau Bafara Gabu Cantchungo |
Conakry Dubreka Boffa Forécariah |
Freetown Kambia Mayamba Port Loke |
Monrovia Buchanan Greenville Harper |
Abidjan Sassandra San Pedro |
Accra Takoradi Cape Coast |
Lomé Aného |
Cotonou Porto Novo |
| Major ports |
Conakry Kamsar |
Freetown |
Monrovia |
Abidjan San-Pedro |
Tema Takoradi |
Lomé |
Cotonou | |
|
Major Lagoon systems |
Cufada Wendo- Tcham |
Lake Piso Lake shepherd |
Ebrié Aby-Tendo-Ehy Grand-Lahou |
Keta Sakumo Songaw Korle Densu (delta) |
Lac Togo Lomé |
Nokoué Porto-Novo Aheme Ouidah | ||
|
Area occupied by mangroves (km2) |
250,000 (ha) |
213,900 (ha) |
1000 |
10 |
5 | |||
|
Coastal erosion rate (m/y) |
1.5 |
1.5 |
3 |
20 |
15 - 30 | |||
|
Tidal range (m) |
4.10 – 4.50 |
1.2 |
1.3 |
1.5 |
1.5 | |||
| Currents (m/s) |
0.5 – 1.5 |
0.5 – 1.5 |
0.5 – 1.5 |
0.5 – 1.5 |
0.5 – 1.5 | |||
| Major Rivers |
Kayauga Koliba Cachea Cumbija |
Kogon Tinguilinta Fatala Konkouré |
Sewa Rokei Jong Little Scarcies |
Mano St. Paul Lofa St. John Castos |
Comoé Bandama Sassandra Cavally |
Volta Pra Oti Tano Ankobra |
Mono Zio Haho |
Mono Couffo Oueme |
|
Nigeria |
Cameroon |
Equatorial Guinea |
DR Congo |
Congo |
Gabon |
Sao Tome and Principe |
Angola | |
|
Length of coastline (km) |
853 |
402 |
296 |
40 |
180 |
885 |
209 |
1,650 |
|
Surface area (km2) |
923,773 |
475,412 |
28,050 |
2,345,000 |
342,000 |
267,667 |
1,000 |
1,246,700 |
|
Area of continental shelf (km2) |
46,300 |
10,600 |
14,710 |
1,150 |
46,000 |
|||
|
Width of continental shelf (km) |
15 - 85 |
30 – 80 |
||||||
|
Area of EEZ (km2) |
210,900 |
15,400 |
283,200 |
1,000 |
213,000 |
|||
|
Population (million) (yr. in brackets) |
107 |
14.7 (2000) |
0.454 (1998) |
42 |
2.619 (2000) |
1.2 |
0.160 (2000) |
12 |
|
Population growth rate (p.a.) |
2.9 |
2.9 |
3.1 |
3.4 |
2.5 |
3.2 |
||
|
Population by year 2010 |
132 |
20.0 |
3,175,000 |
1.4 |
||||
|
Total artisanal fishers (1990) |
345,000 |
26,000 |
700 |
|||||
|
Major coastal cities |
Lagos Warri Sapele Port Harcourt Calabar |
Douala Limbé Kribi Edea |
Matadi Boma Moanda |
Pointe-Noire |
Libreville Port Gentil |
Sao TomeCity |
Luanda Lobito Benguela Namibie Soyo | |
| Major ports |
Lagos Warri Port Harcourt Calabar |
Douala Limbé |
Matadi Boma Banana |
Libreville Port Gentil |
||||
|
Major Lagoon systems |
Lagos Lekki |
Volcanic Crater lakes |
Tonde |
Conkouati Malonda |
Nkomi Ndogo Ngové Banio |
No lagoon of appreciable size |
||
|
Area occupied by mangroves (km2) |
12,200 |
2,700 |
120 |
66,000 (ha) |
2500 |
No data |
||
|
Coastal erosion rate (m/y) |
15 - 30 |
30 – 50 |
||||||
|
Tidal range (m) |
1.5 |
0.5 – 2.7 |
||||||
| Currents (m/s) |
0.5 – 1.5 |
0.5 - 3 |
||||||
| Major Rivers |
Cross Niger Benne Ogun Imo |
Cross Wouri Sanaga Nyong Ntem |
Kouilou Noumbi Loueme |
Ogooué Nyanga Rembos Noya Komo |
Table 41: Quantity of fish (marine and freshwater species) produced annually by countries in the GCLME Region
|
MAR+FW Catch |
|||||||||||||
|
1986 |
1987 |
1988 |
1989 |
1990 |
1991 |
1992 |
1993 |
1994 |
1995 |
1996 |
1997 |
1998 | |
| Angola |
8182 |
8182 |
8182 |
8182 |
8090 |
7000 |
7912 |
7032 |
7000 |
6000 |
6000 |
6000 |
6000 |
| Benin |
38753 |
41903 |
37267 |
41860 |
38234 |
35083 |
32488 |
39221 |
39932 |
44379 |
42175 |
43771 |
43153 |
| Cameroon |
72104 |
70666 |
70696 |
69782 |
70750 |
69424 |
72032 |
65301 |
75048 |
91795 |
92539 |
94055 |
97055 |
|
Congo, Dem. Rep. of |
156500 |
162000 |
162000 |
166000 |
162000 |
166550 |
188570 |
197489 |
156647 |
159377 |
163760 |
162961 |
178791 |
|
Congo, Republic of |
32085 |
32897 |
41605 |
45840 |
48210 |
45577 |
40183 |
46982 |
42785 |
45915 |
45578 |
38181 |
40100 |
| Côte d'Ivoire |
103648 |
101682 |
89506 |
99171 |
104375 |
85008 |
87283 |
70174 |
74095 |
70575 |
69053 |
67727 |
67450 |
|
Equatorial Guinea |
4250 |
3850 |
3850 |
3850 |
3560 |
3370 |
3500 |
3457 |
5049 |
2296 |
5035 |
6085 |
5996 |
| Gabon |
20226 |
22188 |
22093 |
20502 |
20002 |
22003 |
24005 |
31797 |
31043 |
40464 |
45325 |
44613 |
53486 |
| Ghana |
320161 |
382195 |
362470 |
362081 |
396321 |
363110 |
424021 |
373198 |
336121 |
353526 |
477598 |
447188 |
443112 |
| Guinea |
33002 |
35002 |
38001 |
41001 |
44001 |
49501 |
55005 |
60605 |
63805 |
67864 |
63364 |
62441 |
69764 |
| Guinea-Bissau |
3700 |
4100 |
4690 |
5400 |
5400 |
5000 |
5200 |
5350 |
6000 |
6329 |
7000 |
7250 |
7000 |
| Liberia |
16059 |
18734 |
16055 |
14805 |
6463 |
9619 |
8888 |
7778 |
7721 |
9232 |
7232 |
8580 |
10830 |
| Nigeria |
268591 |
258939 |
278854 |
299833 |
316328 |
267216 |
318404 |
255499 |
282089 |
366101 |
355934 |
383417 |
354756 |
|
Sao Tome and Principe |
2833 |
2798 |
2900 |
3116 |
3583 |
2221 |
2094 |
2334 |
3391 |
3565 |
3980 |
3338 |
3305 |
| Sierra Leone |
52327 |
52224 |
52293 |
52217 |
50090 |
60235 |
60668 |
61032 |
62033 |
62440 |
61560 |
68802 |
62730 |
| Togo |
14838 |
15189 |
15469 |
16458 |
15800 |
12524 |
10899 |
17114 |
13202 |
12221 |
15119 |
14310 |
16680 |
| TOTAL |
1147259 |
1212549 |
1205931 |
1250098 |
1293207 |
1203441 |
1341152 |
1244363 |
1205961 |
1342079 |
1461252 |
1458719 |
1460208 |
Source: FAO (2000)
Table 42: Quantity of fish (marine) caught annually from the GCLME area by the fishing fleets of the 16 countries
|
MAR Catch |
|||||||||||||
|
1986 |
1987 |
1988 |
1989 |
1990 |
1991 |
1992 |
1993 |
1994 |
1995 |
1996 |
1997 |
1998 | |
| Angola |
182 |
182 |
182 |
182 |
90 |
912 |
32 |
||||||
| Benin |
7314 |
8332 |
6282 |
8287 |
7312 |
6813 |
5476 |
5933 |
6672 |
6402 |
7380 |
10078 |
9580 |
| Cameroon |
51980 |
50529 |
50529 |
48644 |
48644 |
47350 |
49975 |
42251 |
50000 |
64740 |
63984 |
64000 |
65000 |
|
Congo, Dem. Rep. of |
2000 |
2000 |
2000 |
2000 |
2000 |
3800 |
3800 |
4200 |
3780 |
3876 |
3973 |
3844 |
3954 |
|
Congo, Republic of |
17994 |
17513 |
22005 |
21707 |
21953 |
18370 |
18943 |
18898 |
17912 |
18965 |
19600 |
19095 |
20000 |
| Côte d'Ivoire |
75435 |
74253 |
60936 |
68503 |
76775 |
61354 |
69573 |
55346 |
58374 |
58854 |
55925 |
55245 |
55000 |
|
Equatorial Guinea |
3800 |
3450 |
3450 |
3450 |
3160 |
3020 |
3130 |
2857 |
4349 |
1846 |
4135 |
5235 |
5026 |
| Gabon |
18244 |
20285 |
20191 |
18600 |
18000 |
20000 |
22000 |
28289 |
26515 |
32777 |
35232 |
34595 |
44410 |
| Ghana |
259929 |
316379 |
300147 |
300128 |
331273 |
298686 |
362640 |
317738 |
278111 |
289925 |
396125 |
372483 |
364560 |
| Guinea |
30500 |
32000 |
35000 |
38000 |
41000 |
46000 |
51000 |
56000 |
60000 |
64760 |
60580 |
58841 |
65764 |
| Guinea-Bissau |
3620 |
4000 |
4540 |
5200 |
5200 |
4800 |
5000 |
5100 |
5750 |
6079 |
6750 |
7000 |
6800 |
| Liberia |
11986 |
14613 |
11944 |
10582 |
2314 |
5586 |
4784 |
3734 |
3685 |
5226 |
3108 |
4554 |
6767 |
| Nigeria |
161515 |
155378 |
168280 |
184733 |
217652 |
175651 |
209027 |
143682 |
164389 |
232709 |
248469 |
255225 |
225622 |
|
Sao Tome and Principe |
2833 |
2798 |
2900 |
3116 |
3583 |
2221 |
2094 |
2334 |
3391 |
3565 |
3980 |
3338 |
3305 |
| Sierra Leone |
35703 |
35596 |
35663 |
35591 |
34500 |
44114 |
43583 |
43990 |
43991 |
44402 |
44020 |
51263 |
45400 |
| Togo |
11288 |
11510 |
11937 |
11908 |
10824 |
7559 |
5211 |
10928 |
7900 |
7171 |
10083 |
9189 |
11620 |
| TOTAL |
694323 |
748818 |
735986 |
760631 |
824280 |
745324 |
857148 |
741312 |
734819 |
841297 |
963344 |
953985 |
932808 |
Source: FAO (2000)
Table 43: Destinations of exports and sources of imports
| COUNTRY |
IMPORT FROM: |
EXPORT TO: |
| BENIN |
Countries in the sub-region |
Europe, France, Italy Netherlands |
| CAMEROON |
Morocco, Mauritania, Senegal |
- |
| CONGO |
Angola, Provenance, South Africa, Spain, France, Iceland, Namibia, Norway, Senegal |
European Union countries (mainly Spain and France) |
| CÔTE D’IVOIRE |
- |
France and other European countries |
| GABON |
- |
Europe, America, Cameroon, Nigeria, Equatorial Guinea |
| GHANA |
European countries, Namibia, Senegal, Norway, South America |
Australia, Belgium, Benin Botswana, Canada, Côte d’Ivoire, Cyprus, Denmark Ethiopia, France, Germany Greece, Honduras, Hong Kong, Israel, Italy, Japan Netherlands, Nigeria, Northway, Senegal, Singapore, South Africa, Spain, Sweden, Switzerland Thailand, Togo, UK, USA |
| GUINEA |
- |
Belgium, France, Spain |
| LIBERIA |
- |
Europe, North America |
| NIGERIA |
Asia, Europe, Iraq, South America, USSR |
Asia, Comoros, Europe India, USA |
| SIERRA LEONE |
- |
Belgium, France, Greece Holland, Senegal, UK, USA, Germany, West Indies |
| TOGO |
Benin, Mauritania, Namibia Netherlands, Senegal |
China, European Union countries, Greece, Hong Kong, Italy, Switzerland, USA |
9.0: Establishment of Environmental Quality Objectives (EQOs) for the GCLME
a) General:
The synthesized Regional report and the draft preliminary Transboundary Diagnostic Analysis identified the major perceived problems of the GCLME as depletion/decline of fisheries resources, water quality degradation habitat destruction and alteration and loss of biodiversity and;
Emerging problems were identified as unplanned urbanization and increasing industrial activities in coastal and marine areas that result in use conflicts and impose great stresses on environment and resources.
It should be noted that for a number of these issues and problems, quantitative indicators of loss or degradation are not available. In some cases, the data and information are not uniform throughout the region. Further in-depth studies or retrieval of data and information may be required in order to establish definitive EQOs for protection and management of natural resources and the environment. However, preliminary EQOs and targets have been established/proposed for the key issues identified for priority action in the immediate future.
b) Objectives, Rationale and Priorities for the SAP:
The primary goal of the Strategic Action Programme is to halt or ameliorate the current rate of environmental degradation and restore eventually the health of the GCLME and its natural resources. It contains priority actions that need to be undertaken at both national and regional levels by a variety of stakeholders. It is designed to guide and assist member states in taking environmental action whether individually or jointly within their respective policies, priorities and resources, which will lead to the mitigation by prevention, reduction, control and/or elimination of the causes of degradation of the freshwater, coastal and marine environment. Successful implementation of the aims of the SAP will ultimately contribute to the protection of human health; promote conservation and sustain use of resources and contribute to the maintenance of globally significant biodiversity.
The general objectives of the SAP are:
· Formulation of principles, approaches, measures, timetables/timeframes and
priorities for action; preparation of a priority list for intervention and
investments;
· Detailed analysis of expected baseline and additional actions needed to resolve each transboundary priority problem;
· Preparation of approaches or guidelines for the formulation of National Action Plans for the protection of the marine environment and rational use of coastal and marine resources consistent with the regional SAP
· Foster the involvement through participatory approach of regional, national, non- Governmental Organizations, private sector, and any other stakeholder in the implementation of the SAP; and
· Foster collaboration and cooperation between all regional participants with
interests in the GCLME in an attempt to avoid duplication and waste of both
human and financial resources.
The Member States of the GCLME either have or are improving basic infrastructure necessary for the protection of the environment and for the sustainable use of its resources including institutions with authority for protection of the environment. However, the governments of the region have recognized that further actions at national and regional levels are necessary to halt the rate of degradation. Consequently, regional environmental objectives and targets to achieve the general objectives have been defined. These objectives, EQOs and targets address the major areas of concern identified in the draft preliminary TDA.
c) Environmental Quality Objectives, Targets and Priority Actions:
As an approach to categorize and prioritize interventions for each major perceived problem and issue, the MPPIs were recast into overall Environmental Quality Objectives.
The environmental impacts, socio-economic impacts, and root causes of the various MPPIs overlap to a great extent as might be expected. With common causes e.g. land based activities affect water quality, loss or depletion of fisheries, loss of biodiversity etc. Therefore recognizing these overlaps and the priorities derived from the TDA process, the EQOs were limited to three overarching objectives:
Table 44: Root causes and Major Perceived Problems and Issues.
|
Root causes |
Perceived Problems | ||||
|
MPPI 1 |
MPPI 2 |
MPPI 3 |
MPPI 4 |
MPPI 5 | |
|
Declining fisheries and non-optimal harvesting of resources |
Uncertainty regarding ecosystem status and yields in a highly variable environment including effects of global climate change |
Deterioration in water quality and pollution from Land and Sea-Based Activities, eutrophication and HABs |
Habitat destruction and alterations, degradation of coastscapes and coastline erosion |
Loss of biotic (ecosystem) integrity | |
|
Lack of knowledge/understanding |
|||||
|
Lack of scientific capacity |
|||||
|
Lack of technical infrastructure |
|||||
|
Lack of legal regulatory basis |
|||||
|
Lack of demonstration projects |
|||||
|
Poverty |
|||||
|
Lack of inter-sectoral coordination |
|||||
|
Population pressure |
|||||
|
Lack of policy/differential regional policy |
|||||
|
Lack of economic incentives |
|||||
|
Lack of political will |
|||||
|
Lack of Integrated coastal zone Management |
|||||
|
Lack of regional agreements |
|||||
Table 45: EQO’s Target and Interventions: Sustainable Management and Utilization of Resources:
|
EQO’s |
Targets |
Activities |
Interventions |
Type of intervention |
Root cause |
|
Sustainable Commercial Fisheries |
Achieve optimal sustainable yield by year 2015 |
Establish regular stock assessment surveys of brackish, coastal and marine resources. e.g. coastal pelagic, large offshore fin fish stocks shrimp fishery and molluscs. Conservation and protection of spawning and nursery grounds of commercially important species. Aquaculture/ mariculture practices using native species. Promote shrimp culture as a luxury commodity for export Develop distant water trawl fisheries |
Enforce compliance with existing Fisheries Act and or regulation of FAO Code of Practice etc. to reduce over harvesting; obnoxious/illegal fishing practices; poaching etc Conservation of mangrove habitats and marine parks- official designation of such areas. Establish extensive, semi-intensive and intensive fish culture and shrimp farming. Conduct aquaculture/ Mari-culture training course. Establish fish farm estates or Demonstration farms. Train extension agents/train the trainers. Develop and train inspectors on HACP for Internationally accepted fish products. Promote fishing agreements with neighboring countries. |
Legislative Regulatory Legislative Regulatory Policy Investment Scientific Information Capacity Building Capacity building Institutional Strengthening. Investment capacity building |
Table 46: Maintenance of Ecosystem health and Management of Pollution.
|
EQO’s |
Targets |
Activities |
Intervention |
Type of Intervention |
Root Cause |
|
Water quality that supports sustainable Fisheries, Coastal and marine habitat Integrity and human health. |
Reduce impact of rural areas water quality. Reduce impact of urban areas on water quality. Substantially reduce the input of nutrients, pesticides, herbicides, and POPs to Groundwater, Rivers, Lakes, Lagoons, estuaries draining into the coastal water of the GCLME by (2010). Substantially reduce the input of heavy metals, oil exploitation, port operations and industries to the marine environment by (20…?) Halt the disposal either direct or indirect of solid waste, litter, plastics, etc into territorial waters of the GCLME by (20..?) Substantially reduce the pollution of surface waters from atmospheric pollutants such as lead, sulfur dioxide, cement dusts, etc by. (20? |
Provide primary sewage treatment to (10%) of coastal population by (2010) Provide secondary sewage treatment to (15%) of coastal urban population by (2010). Establish/ Enforce Standards and Guidelines for Industrial Wastewater discharge and air emission. Establish reporting system for large oil spills Formulation of National contingency Plan with a Response Preparedness Provide reception facilities at ports. Reduce impact of sea borne debris on coastal waters. Reduce impacts of gaseous emissions |
Develop and enforce simple primary treatment infrastructure for use by homesteads. Formulate/ Strengthen Standards and Regulations for waste discharge. Enforce compliance for EMP (Environmental Management Plan) and Environment Audit (EA). Construct reception facilities at ports for ship-born wastes. |
Investment. Investment Legislative Regulatory. Regulatory |
Lack of knowledge understanding Lack of technical infrastructure. Lack of enforcement. Lack of enforcement. Lack of legal/ regulatory basis. Lack of technical infrastructure Lack of demonstration projects. |
Table 47: Stabilized Coastal Zone for Sustainable use.
|
EQOs |
Targets |
Activities |
Interventions |
Type of Intervention |
Root Causes |
|
Maintenance of habitats for ecological and environmental sustainability. |
Achieve habitat natural stability by 2015. |
Reduce negative impacts of anthropogenic activities in the coastal zone. Prevention of adverse human activities on sensitive ecosystems. . Strengthen monitoring capacity for evaluating wetlands and fragile mangrove swamps. Strengthen regional legal basis for preventing coastal area degradation. |
Strengthen the capacity of NGO’s and CBOs for community based conservation measures. Evaluate sensitivity of different ecotypes. Develop legislation for the protection of highly sensitive areas. Implement alternatives to mangrove conversion practices to conserve biodiversity. Develop common guidelines for management of wetlands. Rationalize the use of wetlands by local communities. National review of Policy, legal and regulatory frameworks and Institutional structure for addressing usage and conflicts in the coastal zone. Develop realistic National Plans of Action for landbased sources and activities. Strengthen capacity of Institutions to Implement National Plans of Action and EIA process review. Develop community outreach and public awareness program regarding land degradation. |
Lack of political will. Lack of economic incentives. Lack of training Inadequate capacity. Lack of knowledge/ understanding |
1. Sustainable Commercial Fisheries:
Address the following MPPIs:
Overharvesting of species Declining turtle population
Fishing overcapacity High by-catch and juvenile loss
Inappropriate fishing methods underdeveloped mariculture.
Poaching
Loss of biodiversity
Water quality degradation.
2. Maintenance of ecosystem health and management of contamination:
Address the following MPPIs:
Coastal erosion
Destruction of habitats
Loss of biodiversity
Water quality degradation.
3. Stabilized coastal zone for sustainable use:
Address the following MPPIs:
Coastal erosion
Loss of biodiversity
Destruction of habitats including wetlands, seabed, etc
Mangrove deforestation and degradation
Flooding
Water quality degradation
Invasive species
Sustainable commercial fisheries:
· Achieve sustainable fisheries development by 2015 (indicator national report on fisheries indicates stabilized fisheries resources by 2015).
· Arrest wetland and mangrove forest loss by 2010 and control introduction of
invasive species (indicator: wetland and mangrove surveys show stability of
wetland/swamp ecosystem by 2010).
· Begin participatory/community-based estuarine biodiversity conservation strategy by 2005 (Indicator: biodiversity) conservation strategy has been developed and national reports indicate that implementation has begun by
2005).
· Reduce coastal and soil erosion by 25% by 2010 (indicator: aerial surveys
combined with ground-trotting indicate that anthropogenic component of the rate of erosion is reduced by 25% by 2010).
Maintenance of ecosystem health and management of contamination:
· Achieve primary sewage treatment by 2010 and provide for 100% of coastal
population by 2010.
· Achieve secondary sewage treatment by 2010 and provide 15% of coastal urban population by 2010.
· Reduce input of nutrients, pesticides, herbicides and persistent organic pollutants to rivers, lakes estuaries draining into lagoons and coastal waters of the GCLME by 2015.
· Substantially reduce the input of heavy metals, oils, and hydrocarbons, synthetic chemicals, industrial wastes, oil industry wastes etc to the coastal and marine environment by 2010.
· Halt the disposal directly or indirectly, of municipal solid waste, marine debris etc into territorial waters of the GCLME by 2010.
Stabilized coastal zone for sustainable use:
· Halt mangrove deforestation and destruction by 50% by 2010 (indicator: aerial Surveys combined with ground truthing indicates that human-induced component of mangrove deforestation is reduced by 50% by 2010).
· Reduce coastal and soil erosion rates by 25% (indicator: aerial surveys combined with ground truthing that indicates coastal and soil erosion rates reduced by 25% by 2010).
· Achieve adequate groundwater qualify and quantity by 2015 (Indicator:
groundwater surveys show stable levels of contaminants of concern and stable water tables by 2015).
ANNEXES
Annex I: Table 48 International Conventions and Agreements of which countries in the GCLME Region are parties to. Date of ratification given; x indicates convention signed/ratified but no date (in indicated year) given
|
GBI |
GUI |
SLE |
LIB |
CIV |
GHA |
TOG |
BEN | |
|
La convention sur la pêche et la conservation des ressources biologiques de la haute mer |
20-Mar-66 |
|||||||
|
1963 Act Regarding Navigation and Economic Cooperation between the States of the Niger Basin. |
21-Nov-80 |
|||||||
|
1964 Agreement on the River Niger Commission and Navigation and Transport. |
21-Nov-80 |
|||||||
|
1964 Convention on the Development of the Lake Chad Basin. |
||||||||
|
1966 Convention internationale sur les lignes de charges |
||||||||
|
1968 African Convention on the Conservation of Nature and Natural Resources. |
12-Dec-89 |
16-Jun-69 |
X |
1979 |
||||
|
1969 International convention on civil liability for damages due to pollution by hydrocarbons (and amendments) |
29-Nov-89 |
15-Jun-75 |
X |
|||||
|
1969 International convention on the open sea intervention in case of accident likely to lead to a pollution by hydrocarbons Bruxelles, 1969 |
26-Nov-69 |
7-Apr-88 |
30-Jan-86 | |||||
|
1971 International Convention on the Establishment of an International Fund for Compensation for Oil Pollution Damage. |
29-Nov-89 |
5-0ct-87 |
X |
30-Jan-86 | ||||
|
International Convention for the Conservation of Atlantic Tunas |
X |
|||||||
|
1971 Ramsar convention relative to humid areas of international importance so as to guarantee reinforced protection of stay and nestling place of some migratory species |
24-Sep-92 |
Feb-93 |
X |
09-Jun-95 |
||||
|
1971 Traite interdisant de placer des armes nucleaires et d’autres armes de destruction massive sur le fond des mers et des oceans ainsi que dans leur sous-sol |
Mar 1989 |
07-Jul-96 | ||||||
|
1972 Convention on the Protection of the World Cultural and Natural Heritage. |
18-Jun-79 |
1987 |
X |
14-sep-86 | ||||
|
1972 Convention sur le reglement international pour la prevention des abordages en mer |
||||||||
|
1972 Convention on the Prevention of Marine Pollution by the Dumping of Wastes. |
Apr 1991 |
09-oct-87 |
1982 |
1982 | ||||
|
1973 International convention against ships pollution (MARPOL) London |
May 1991 |
5-0ct-87 |
09-May-90 |
01-Nov-85 | ||||
|
1973 Convention on endangered wild fauna and flora species international trade cities Washington |
20-Dec-81 |
Feb-93 |
X |
28-May-84 | ||||
|
1974 Convention internationale sur la sauvegarde de la vie humaine (SOLAS) |
Nov 1980 |
X | ||||||
|
1979 Convention on the Conservation of Migratory Species of Wild Animals. |
28-May-87 |
1994 |
01-Apr-86 |
|
GBI |
GUI |
SLE |
LIB |
CIV |
GHA |
TOG |
BEN | |
|
1981 Convention for Cooperation in the Protection and Development of the Marine and Coastal Environment of the West and Central African Region. |
23-May-81 |
05-Aug-84 |
23-03-81 |
1984 |
07-Sep-97 | |||
|
1981 Protocol relative to cooperation as regards fight against pollution in case of critical situation Abidjan |
23-Mar-81 |
05-Aug-84 |
16-Aug-83 |
1994 | ||||
|
1982 Convention on the Law of the Sea. |
29-Nov-89 |
1994 |
X |
19-Aug-94 |
30-Aug-83 | |||
|
1985 Vienna Convention for the Protection of the Ozone Layer. |
Apr 1983 |
1983 |
1983 |
1983 | ||||
|
1986 Convention concernant la securite dans l'utulisation de l’ambiente |
1983 |
1983 |
1994 | |||||
|
1987 Montreal Protocol on Substances that Deplete the Ozone Layer. |
1983 |
1982 |
1983 | |||||
|
1989 Basel Convention on the Transboundary Movement of Hazardous Wastes and their Disposal. |
1995 |
09-Jun-94 |
||||||
|
1991 Convention d'Abuja instituant une communauté economique africaine |
1993 |
1989 |
1993 | |||||
|
1992 Amendement au protocole de Montréal |
Nov 1992 |
|||||||
|
1992 Convention cadre des Nations Unies sur les changements climatiques |
01-Mar-94 |
08-Mar-95 |
16-Mar-93 | |||||
|
1992 Convention on climate change Rio de Janeiro |
1994 |
14-Nov-94 |
1994 | |||||
|
1992 Water pollution Control and Biological Diversity Conservation in the Large Marine Ecosystem of the Gulf of Guinea, Vienna |
1995 | |||||||
|
1992 Convention de Dakar sur la coopération des états riverains de l'Atlantique |
||||||||
|
1992 Convention on biological diversity Rio de Janeiro |
07-May-93 |
14-Nov-94 |
04-Oct-95 |
30-Jun-94 | ||||
|
1994 Convention sur la desertification |
19-Apr-97 |
11-Jul-96 |
|
NIG |
CAM |
GAB |
EQG |
CON |
DRC |
ANG |
SAO | |||||
|
La convention sur la pêche et la conservation des ressources biologiques de la haute mer |
||||||||||||
|
1963 Act Regarding Navigation and Economic Cooperation between the States of the Niger Basin. |
1963 |
01 Feb 66 |
||||||||||
|
1964 Agreement on the River Niger Commission and Navigation and Transport. |
1964 |
|||||||||||
|
1964 Convention on the Development of the Lake Chad Basin. |
1964 |
1966 |
||||||||||
|
1966 Convention internationale sur les lignes de charges |
14 Aug 84 |
|||||||||||
|
1968 African Convention on the Conservation of Nature and Natural Resources. |
1968 |
29 Sep 78 |
15-Sep-68 |
13-Nov-76 |
||||||||
|
1969 International convention on civil liability for damages due to pollution by hydrocarbons (and amendments) |
||||||||||||
|
1969 International convention on the open sea intervention in case of accident likely to lead to a pollution by hydrocarbons Bruxelles, 1969 |
1981 |
14 May 84 |
29-Nov-69 |
|||||||||
|
1971 International Convention on the Establishment of an International Fund for Compensation for Oil Pollution Damage. |
1981 |
12 Aug 84 |
||||||||||
|
International Convention for the Conservation of Atlantic Tunas |
||||||||||||
|
1971 Ramsar convention relative to humid areas of international importance so as to guarantee reinforced protection of stay and nestling place of some migratory species |
29 –Jun-96 |
15-Sep-94 |
||||||||||
|
1971 Traite interdisant de placer des armes nucleaires et d’autres armes de destruction massive sur le fond des mers et des oceans ainsi que dans leur sous-sol |
07-Jul-96 | |||||||||||
|
1972 Convention on the Protection of the World Cultural and Natural Heritage. |
1972 |
07 Dec 82 |
- |
17-Dec-75 |
||||||||
|
1972 Convention sur le reglement international pour la prevention des abordages en mer |
1972 |
14 May 84 |
||||||||||
|
1972 Convention on the Prevention of Marine Pollution by the Dumping of Wastes. |
1975 |
1982 |
16-Oct-75 |
|||||||||
|
1973 International convention against ships pollution (MARPOL) London |
1973 |
En cours |
27 Jan 1983 |
|||||||||
|
1973 Convention on endangered wild fauna and flora species international trade cities Washington |
05 Jun 81 |
3-Mar-73 |
18-Oct-76 |
|||||||||
|
1974 Convention internationale sur la sauvegarde de la vie humaine (SOLAS) |
25May 80 |
|||||||||||
|
1979 Convention on the Conservation of Migratory Species of Wild Animals. |
1975 |
07 Sep 81 |
3 Mar 99 |
|||||||||
|
NIG |
CAM |
GAB |
EQG |
CON |
DRC |
ANG |
SAO | |
|
1981 Convention for Cooperation in the Protection and Development of the Marine and Coastal Environment of the West and Central African Region |
01 Mar 83 |
23-Mar- 81 |
15 Dec 85 |
|||||
|
1981 Protocol relative to cooperation as regards fight against pollution in case of critical situation Abidjan |
01 Mar 83 |
|||||||
|
1982 Convention on the Law of the Sea. |
1994 |
19 Nov 85 |
10-Dec-82 |
17-Feb-89 |
||||
|
1985 Vienna Convention for the Protection of the Ozone Layer. |
1983 |
22 Sep 88 |
Mar 1994 |
15-Sep-94 |
||||
|
1986 Convention concernant la securité dans l’utulisation de l’amiante |
1983 |
20 Feb 89 |
||||||
|
1987 Montreal Protocol on Substances that Deplete the Ozone Layer. |
01 Jan 89 |
15-Sep-94 |
||||||
|
1989 Basel Convention on the Transboundary Movement of Hazardous Wastes and their Disposal. |
15-Sep-94 |
|||||||
|
1991 Convention d'Abuja instituant une communauté economique africaine |
1988 |
1991 |
||||||
|
1992 Amendement au protocole de Montréal |
10 Aug 92 |
Mar 1994 |
||||||
|
1992 Convention cadre des Nations Unies sur les changements climatiques |
1996 |
8-Dec-94 |
||||||
|
1992 Convention on climate change Rio de Janeiro |
19 Oct 94 |
|||||||
|
1992 Water pollution Control and Biological Diversity Conservation in the Large Marine Ecosystem of the Gulf of Guinea, Vienna |
Dec 93 |
|||||||
|
1992 Convention de Dakar sur la coopération des états riverains de l'Atlantique |
||||||||
|
1992 Convention on biological diversity Rio de Janeiro |
19 Oct 94 |
12-Jun-92 |
1996 |
15-Sep-94 |
||||
|
1994 Convention sur la desertification |
Jun-95 |
8 Jan 99 |
11-Sep-97 |
Awosika, L.F. and Ibe, A.C., 1998 : Geomorphic features of the Gulf of Guinea shelf and littoral drift dynamics PP21-27. In Nearshore Dynamics and Sedimentology of the Gulf of Guinea (Eds. Ibe, A.C., Awosika, L.F. and Aka, K). IOC/UNIDO. CEDA Press Cotonou
Ajayi, 1994, The Status of Marine Fishery Resources of the Gulf of Guinea : In : Proc. 10th Session FAO, CECAF, Accra, Ghana, 10-13 October 1994).
Bainbridge, V. 1972. The zooplankton of the Gulf of Guinea. Bull. Mar. Ecol. 8:61-97.
Binet, Denis and Emile Marchal, 1993. The Large Marine Ecosystem of Shelf Areas in the Gulf of Guinea: Long-Term Variability Induced by Climatic Changes. In Kenneth Sherman, et al. (eds.), Large Marine Ecosystems: Stress, Mitigation, and Sustainability (Washington, D.C.: American Association for the Advancement of Science, 1993) pp. 104-118.
Binet, Denis. 1983a. Phytoplancton et production primaire des regions côtiérs à upwellings saissoniers dans le Golfe de Guinée. Océanogr. Trop. 18:331-355.
Binet, Denis. 1983b. Zooplancton des régions côtiére à upwellings saisonniers du Golfede Guinée. Océanogr. Trop. 18:357-380.
Binet, Denis. 1988. Role possible d’une intensification des alizés sur le changement de répartitiondes sardines et sardinelles le long de la côte ouest africaine. Aquat. Living Resour. 1:115-132.
Binet, Denis, et al. 1991. Sardinella aurita de Côte d’ivoire et du Ghana: Fluctuations halieutiques et changements climatiques. In: Pêcheries ouest-africaines. Variabilité, instabilité e et changement, pp.320-342. Ed. by P. Cury and C. Roy. ORSOM, Paris.
Bird, C.F. (1967): Coasts: An Introduction to systematic geomorphology. The MIT Press, Cambridge Mass., 246p.
Hisard, P. 1988. El Niño response of the tropical Atlantic Ocean during the 1984 year. Int. Symp. Long-Term Changes. Mar. Fish Pop. 1986. Vigo, Spain pp.273-290.
Mendelssohn, R. and Cury, P. 1987. Fluctuations of a fortnightly abundance index of the Ivoirian coastal pelagic species and associated environmental conditions. Can. J.Fish. Aquat. Sci. 44:408-421.
Pezennec, O., et al. 1993. La pêche des petites espèces pélagiques en Côte d’Ivoire. In Environment et ressources aquatiques de Côte d’Ivoire. I. Le milieu marin. Ed. by P. LeLoeuff, et al.. ORSTOM, Paris.
Prescott, 1993. Role of National Political Factors in the Management of LMEs: Evidence from West Africa. In Kenneth Sherman, et al. (eds.), Large Marine Ecosystems: Stress, Mitigation, and Sustainability (Washington, D.C.: American Association for the Advancement of Science, 1993) pp. 280-291.
Ibe, A.C. and E.E. Antia, Preliminary assessment of the impact of erosion along the Nigerian shoreline. NIOMR Techn. Paper N° 13, 1993.
Awosika L.F., Coastal erosion in West Africa: causes, effects and response options. Paper presented at the International Convention on Rational Use of the Coastal Zone, 1992. Bordeaux, France.
Awosika L.F., A.C. Ibe and P. Schroeder, eds., Coastlines of western Africa: a compilation of papers presented at Coastal Zone, 1993. New York, American Society of Civil Engineers.
FAO, Revue de la pollution dans l'environnement aquatique africain. Document Technique du CPCA N° 25, 1994, préparé par D. Calamari et H. Naeve. 129 p.
Ibe, A.C. (1988): Coastline Erosion in Nigeria. Ibadan University Press, Ibadan. 207p.
Ibe, A.C. and R.E. Quelennec, Methodology for the assessment and control of coastal erosion in West and Central Africa. UNEP Regional Seas Reports and Studies, N° 107, 1989. 107p.
Ibe, A.C, and Ojo, S.O. (1994): Implications of expected climate change in the West and Central African Region: an overview. UNEP Regional Seas Reports and Studies No. 148. 42p.
International Union for the Conservation of Nature (IUCN). Wetland Management and Rural Development in West Africa. Progress report N° 3 (1 December 1990 - 30 May 1991). Document prepared for the Ministry of Foreign Affairs, The Hague. IUCN, Gland, Switzerland, 1991.
_______
Coastal and marine biodiversity report for UNEP (OCA/PAC): identification, establishment and management of specially protected areas in the WACAF region. Report for Mauritania, Senegal, Gambia, Guinea-Bissau, Guinea, Sierra Leone, Côte d'Ivoire, Ghana, Benin and Nigeria. Gland, Switzerland: IUCN, 1992.
Pilkey, O.H. et al (1981) : Old solutions fail to solve beach problems. Geotimes. V. 26, P. 18-22.
PNUE, Etudes de polluants marins provenant de sources industrielles dans la région de l'Afrique de l'Ouest et du Centre. Rapports et études des mers régionales n° 2 - en collaboration avec l'ONUDI, 1982. 119 p.
PNUE, Plan d'action pour la protection et la mise en valeur du milieu marin et des zones côtières de la région de l'Afrique de l'Ouest et du Centre. Rap. Etud. PNUE; Mers. Reg., 1983, (27): 15p.
PNUE, Plan d'action pour la protection, la gestion et la mise en valeur du milieu marin et des zones côtières de la région de l'Afrique de l'Est. Rap. Etud. PNUE; Mers Reg., 1985, (61): 9p.
Portmann, J.E. et al., Etat du milieu marin: région de l'Afrique de l'ouest et du centre. PNUE Rap. Etud. Mers Rég., 1989, (108): 36 p.
United Nations, World Urbanization, Prospects for 1990. United Nations Population Division. New York: United Nations.
UNDP, Water pollution control and biodiversity conservation in the Gulf of Guinea: large marine ecosystem project proposal to the GEF, 1993 (EG/RAF/92/G34).
UNEP, The status of oil pollution and oil pollution control in the west and central African region. UNEP regional seas reports and studies n° 4 - in cooperation with Inter-governmental Maritime Consultative Organization, 1982, 190 p.
UNEP, Coastal Erosion in West and Central Africa. UNEP Regional Seas Reports and Studies (67). Nairobi: UNEP, 1985.
State of the Marine environment: West and Central Africa Region. UNEP Regional Seas Reports and Studies (108). Nairobi: UNEP, 1989.
______ The West African Action Plan: evaluation of its development and achievements. UNEP Regional Seas Reports and Studies (101). Nairobi: UNEP, 1989.
______ Protection of the Marine Environment from Land-based activities. Report for the West and the Central African Region prepared by A. M. Kouassi & C. A. Biney. Redkjavik. 6-10 May 1995.
WCMC, Ecologically Sensitive Areas in Africa, I. Occidental and Central Africa. Report compiled by WCMC for the World Bank, Washington, DC, 1993.
______ Ecologically Sensitive Areas in Africa, IV. West Africa. Report compiled by WCMC for the World Bank, Washington, D.C, 1993.
______ Ecologically Sensitive Areas in Africa, V. Sahel. Report compiled by WCMC for the World Bank, Washington, D.C, 1993.
ANNEX II: BRIEF HISTORY OF THE GCLME PROJECT
In spite of the various sectoral national monitoring and assessment efforts, coastal areas and marine data and information in the region have limited scope to provide adequate, transboundary and integrated regional information upon which management actions and political decisions can be based at regional level negotiations. They are also invariably not designed to assess long-term trends and potential threats of cumulative impacts of human activities. Until recently most laboratories in the region did not have standardised methodologies and techniques for sampling, analysis and computation of data and there were relatively limited regional inter calibrations exercises to make their results inter-comparable prior to the implementation of the pilot phased Gulf of Guinea LME Project.
The countries have recognised the environmental and socio-economic challenges facing their common marine, coastal and freshwater resources and have accepted the need for joint stewardships in managing the commonly shared resources of the GC LME in order to ensure its future sustainability
The international community has long recognized the need to manage the marine environment, especially the maritime zones outside the jurisdiction of coastal States. In particular, Governments have been enjoined to take early action to adopt effective national measures for the control of significant sources of marine pollution, including land-based sources, living marine depletion and habitat degradation[1]. Governments were also mandated, through various international protocols, to coordinate such management actions regionally and gloablly. The Abidjan Convention for Co-operation in the Protection, Management and Development of the Marine and Coastal Environment of the West and Central African Region was born out of the need to undertake regional and common approaches to the preventon, reduction and combating of pollution in the marine environment, the coastal and related inland waters of western Africa.
Motivated by the outcome and declarations made at the United Nations Conference on the Environment and Development (UNCED), a couple of international researchers proposed the adoption of the large marine ecosystem (LME) concept as the ecological framework to achieve the UNCED objectives. The LME concept, which was adopted by the Global Environment Facility (GEF) and member countries, not only provides a holistic and integrated approach for the prevention of pollution in marine and coastal environments but also provides specific recommendations for the :
· development and enhancement of the productivity and potentials of the living marine resources, and
· promotion of integrated management and sustainable development of coastal, marine and associated environments.
The current GEF LME Project Approach to integrated management, and sustainable development and use of the resources of/the coastal areas and marine environment is a programme that facilitates the development of regional Strategic Action Plan (SAP) by coastal States towards long-term management through international co-operation within a subregional, inter-regional, or regional framework. This approach is designed is to support and supplement national efforts of coastal states to promote integrated management and sustainable development of coastal and marine areas under the coastal states jurisdiction including the their Exclusive Economic Zone (EEZ).
The Guinea Current region was one of the first regions where the LME concept was first applied for coastal and marine environmental management. The Global Environment Facility (GEF) funded pilot phase project titled, "Water Pollution Control and Biodiversity Conservation in the Gulf of Guinea Large Marine Ecosystem" was implemented between 1995-1999. The project, an the initiative of five ( later six with the participation of Togo) countries in the region namely Benin, Cameroon, Côte d'Ivoire, Ghana, Nigeria and Togo was implemented with the technical assistance of UNIDO, UNDP, UNEP and the US-NOAA (under the United States Department of Commerce) and the collaboration of a host of national, regional and international organizations. The GOG-LME project represents a regional effort to assess, monitor, restore and enhance the ecosystems capacity and productivity in order to sustain the socio- economic opportunities for the countries in the coming decades.
The development objective of the Gulf of Guinea LME (GOG-LME) project was “the restoration and sustenance of the health of the Guinea Current LME and its natural resources, particularly as it concerns the conservation of its biological diversity and the control of water pollution”.
The following specific strategic objectives were established for the project:
· Strengthening regional institutional capacities to prevent and remedy pollution of the Gulf of Guinea LME and associated degradation of critical habitats;
· Developing an integrated information management and decision making system for ecosystem management;
· Establishing a comprehensive programme for monitoring and assessing the living marine resources, health, and productivity of the Gulf of Guinea LME;
· Preventing and controlling land based sources of industrial and urban pollution;
· Developing national and regional strategies and policies for the long-term management and protection of the Gulf of Guinea LME.
An approach adopted in project implementation was to build onto already existing national infrastructures a regionally co-ordinated and integrated programme of monitoring and assessment and developing among others:
i. a system for joint fishery surveys for assessing changes in the spawning stock biomass (ssb) of the important species
ii. a structured regional monitoring programme to determine the quality of the coastal areas and the health of the GOG Marine Ecosystem
iii. a system of coastal and marine ecosystem measurements, information synthesis, and reporting for mitigation of coastal stress
iv. indices of environmental quality assessment of coastal and the marine ecosystem.
The initiation of the GOG LME and the implementation of the capacity building component for monitoring and assessment of the coastal areas and marine environment significantly contributed to the following positive developments including:
· Laboratories across the region presently using standard validated methods for data generation and also periodic inter calibration to ensure inter-comparability of results
· Productivity monitoring with continuous plankton recorder (CPR) on weekly tows have been in progress since November 1995 using ships of opportunities. The results of the monitoring will constitute the basis of estimating marine living resources.
· Mangrove surveys and studies which have resulted in the publication of draft mangrove distribution and disturbance maps. The maps will form the basis of proposals for mangrove restoration schemes
· Application of Standard methods for coastal wetlands pollution states evaluation WHO Rapid Assessment Guidelines. This has been used in assessing the pollution state of selected lagoons.
· Fisheries stock monitoring in collaboration with ORSTOM has been undertaken in a living resource survey in the Western Gulf for assessment of fish stocks and their species diversity.
· Installation of GIS system for data-base development at the national and regional level, and established protocols for effective exchange of data and information between participating countries, as well as exposing them to other global institutes. Facilitated scheme of co-operation and mutual assistance such as pooling available equipment and facilities in addition to sharing experience and exchanging data and information.
A regional GOG LME environmental monitoring and assessment has thus been born under the GEF project.
The outstanding accomplishments of the Pilot-Phase GEF Gulf of Guinea Large Marine Ecosystem (GOG LME) Project (1995 - 1999), as verified in Tri-Partite Review Reports and the Final In-Depth Evaluation, is ample proof of the catalytic and defining roles that GEF incremental funding can play. Some of the results achieved during the pilot phase include:
· adoption of Ministerial level ACCRA DECLARATION(1998) aimed at institutionalising a new ecosystem-wide paradigm consistent with GEF operational guidelines for joint actions in environmental and living resources assessment and management in the Gulf of Guinea and beyond;
· substantial progress in building regional and national water quality, productivity and fisheries assessment and management capabilities based on standardised methodologies;
· planning and implementation of 2 co-operative surveys( first in the western gulf in July/ August, 1996 and secondly in the entire Gulf, Feb/March, 1999) of demersal fish populations conducted by the 6 countries . The data, albeit limited, have served already as the basis for certain common national regulatory actions for the co-ordinated management of the fish stocks of the Gulf;
· definition of regional effluent standards based on a detailed survey of industries and recommendations made for the control and significant reduction of industrial pollution;
· deriving from the survey in (4) above, a successful campaign for reduction, recovery, recycling and re-use of industrial wastes based on the concept of the “waste stock exchange management system” was launched in Ghana as a cost effective waste management tool. The concept will be extended to other project countries;
· initiation of co-operative monitoring of the productivity of the LME using ships of opportunity. The results give indications of the carrying capacity of the ecosystem which enables projections on food security and by extension, social stability in the sub- region;
· preparation of coastal profiles for the 6 project countries, followed by the development of National Guidelines for Integrated Coastal Areas Management (ICAM) and the preparation of draft national ICAM plans which were in different stages of adoption by the end of the Pilot Phase Project.
· establishment of cross-sectorial LME committees in the participating countries consistent with the cross sectorial approach implied in integrated management.
· accelerating the creation of national and regional data-bases, using harmonised architecture, as decision making support tools.
· facilitating the establishment of a functional non-governmental organisation (NGO) regional network.
· promoting active grassroots and gender participation in discussion, decision making and interventions in environmental and resources management ;
· active collaboration arrangements with other projects and organisations in the region;
· initiation of community based mangrove restoration activities in all project countries
· successful completion of 41 training workshops with 842 participants ,416 in regional workshops and 426 in National ICAM workshops resulting in the setting up of a regional network of over 500 contactable specialists linked by electronic mail;
· development of a preliminary Transboundary Diagnostic Analysis (TDA) for the Gulf of Guinea.
Recognizing all the achievements of the pilot phased GOG-LME project as listed above, the Committee of Ministers responsible for the project during their First Meeting in Accra, Ghana in June 1998 called for initiation of an expanded project to include all 16 countries situated within the natural limits of the Guinea Current Large Marine Ecosystem. The communiqué issued after the meeting (The Accra Declaration) stated, among others, that “The development of a Strategic Action Plan including a full Transboundary Diagnostic Analysis leading to the second phase of the Project should be accelerated”. In response to the Ministers’ request a PDF-B project “Development of a Strategic Action Programme for the Guinea Current Large Marine Ecosystem (GCLME)” was initiated in 2001 with the support of GEF, UNIDO, UNDP, UNEP and US-NOAA.
The Commanding Activity of the PDF Block-B Process was the organisation, in Accra, Ghana from 14-18 May 2001, of three back to back meetings namely the Working Group (WG), Stocktaking (SG) and Project Steering Committee (PSC), under the aegis of the Abidjan Convention for Co-operation in the Protection, Management and Development of the Marine and Coastal Environment of the West and Central African Region. The objectives of the meeting included the following:
· to review existing information relating to issues and problems of the marine and coastal environment of the GCLME, especially issues of transboundary nature;
· to examine on-going activities, projects and programmes addressing these issues and problems;
· to identify pilot projects for implementation; and
· to set national and regional strategies and priorities for action to be included in the Project Brief for a supplementary PDF-B or full project.
The stocktaking objectives covered areas beyond the GCLME geographic definitions. The Workshop was designed to bring together stakeholders not only from the GCLME region but also from the CCLME region to the north and BCLME to the south in addition to representatives of some GEF projects in the greater western African coast from Mauritania to South Africa.
The Stocktaking Workshop was successful in affording:
· an "umbrella" under which the 16 countries of the Project established ownership of the Project and agreed on rudimentary mechanisms for consultation and coordination
· the first platform for the various regional GEF Projects to begin the important tradition of sharing lessons learned to date through experience and on a continuing basis as the implementation of GEF assisted projects in western Africa continue.
· an opportunity to discuss the issue of potential overlap between the GCLME Project and complementary GEF Projects in western Africa in order to achieve complementarity and avoid duplication.
· Presentation of a set of Initial Assessments for the 10 new countries and updated national profiles for the 6 pilot phase countries including a regional synopsis of tranboundary issues and priorities.
· Presentation and discussion of an initial compendium of 6 country identified demonstration activities to be implemented in each of the six Pilot Phase countries and 3 regional demonstration activities that would have ecosystem wide execution.
· the constitution of a GCLME-wide Steering Committee that provided guidance on the preparation of this PDF-B proposal and which will oversee subsequent phases of project development and implementation.
One of the principal outputs of the stocktaking process is the Regional Synthesis Report. The report highlights transboundary issues pertinent to the marine and coastal environment of the Guinea Current region and their root causes including the areas where priority management actions should be urgently undertaken. The report also provides background material necessary for the completion of the full Transboundary Dagnostic Analysis (TDA) and the preparation of a full Project Brief. This last objective takes cognisance of the existence of a preliminary TDA developed during the pilot phase Gulf of Guinea LME project that involved six participating. The regional synthesis report thus describes the existing environmental and socio-economic situation in the GCLME based on the:
· questionnaires completed by experts from each of the 16 participating countries;
· country reports prepared by the national experts;
· thematic area reports prepared by experts who were actively involved in the pilot phase Gulf of Guinea LME project and based on activities undertaken during the project;
· comments received from the various stakeholders that participated in the Working Group and Stocktaking Workshops.
The Thematic/Sectoral Reviews were provided by regional experts on the following areas:
· Plankton Survey in the Gulf of Guinea
· Nutrients and Water Quality
· Fish and Fisheries
· Industrial Pollution
· Mangroves
· Socio-economics and Governance
· Integrated Coastal Area Management (ICAM)
· Coastal Erosion
· Geographic Information System
· Information Communication Technology and
· Capacity Building
The bulk of the initial allocation of PDF Block-B funds were used to assure the planning and successful organisation of the Stocktaking Workshop. Thus, It was recognised up-front during the approval of the PDF Block-B Activity that the financial requirement for the Stocktaking Workshop limited funding for the other tasks of preparing a 16 country TDA and Project Brief for a full project and that it was likely that a extra funds would be required to further the stakeholders "buy in" process, define national and regional demonstration project options and to complete a full scale project brief and ultimately the IAs' respective Project Documents. With the recommendation of the Working Group and Stocktaking Workshops and the endorsement of the Project Steering Committee, UNIDO, UNDP, UNEP and US-NOAA finalised the supplementary PDF B which was approved by GEF in November 2002.
The objectives of the supplementary PDF B include to:
· Complete a full Transboundary Diagnostic Analysis (TDA) for the entire 16 country region and a stakeholder involvement plan,
· Define environmental quality objectives that will provide the first step in an adaptive management strategy for the LME to be encapsulated in the Strategic Action Programme (SAP, to be fully developed within the first six months of the full sized project, along with a comprehensive set of process, stress reduction and environmental status indicators).
· Fully identify and define a set of 9 country and regional replicable and sustainable national and regional activities and approved by the Steering Committee (that will make a significant contribution to resolving the priority transboundary issues, conserving the fisheries resources and/or protecting globally significant aquatic biodiversity) and complete an analysis of their benefits, incremental costs and co-funding. These 9 demonstration projects will facilitate early implementation of selected elements of the SAP.
· Develop a regional approach for a Regional Programme of Action on Land Based Activities (RPA/LBA) to facilitate the preparations of National Action Plans that will lead to the formulation and endorsement of a new Protocol on LBA for the Abidjan Convention, in conformance with an ecosystems approach to the assessment and management of the GCLME.
· Enable the preparation of the Project Brief and respective IA Project Documents.
· Develop full project activities to assist the Secretariat of the Abidjan Convention to develop the necessary capacity to coordinate and sustain implementation of the SAP following cessation of GEF support.
The full phase GCLME project would assist these 16 countries in making changes in the ways that human activities are conducted in the different sectors to ensure that the GCLME and its multi-country drainage basins can sustainably support the socio-economic development of the region. A project goal would be to build capacity of Guinea Current countries to work jointly to define and address transboundary priority environmental issues within the framework of their existing responsibilities under the Abidjan Convention and its Protocol. It is clear from the results of the stocktaking workshop that the participating countries endorse the need to recover depleted fish stocks, restore damaged coastal habitats, and control coastal pollution. One of the most egregious issues to be reconciled through activities supported by the project is to relieve the countries from the encroachment of displaced industrial-class vessels from EU countries that have moved into coastal areas. These are areas traditionally fished by artisanal fishermen to provide fish for food security and economic benefit to millions of west Africans inhabiting coastal communities from Guinea Bissau in the north to Angola in the south along the landward margin of the Guinea Current LME.
ANNEX II: REGIONAL AND GLOBAL INITIATIVES ENCOMPASSING THE GCLME REGION
1. Project EP/GLO/201/GEF/FAO
Title: Reduction of Environmental Impact from Tropical Shrimp Trawling, through
the Introduction of By -catch Reduction Technologies and Change of
management”
Participating countries
This project involves 13 countries: 7 for full participation (Nigeria, Iran, Venezuela, Costa Rica, Mexico. Indonesia and Philippines) and 6 others that will participate to the Project through joint activities with one of the main partners (Cameroon, Barhain, Colombia Cuba, Trinidad and Tobago). Two countries of the GCLME i.e. Cameroon and Nigeria are involved in this project. These countries are characterized by the fact that they actively participated at preparatory phase, and also have important shrimp fisheries, but the catches are generally smaller than for the main participating countries.
Project Objectives
This Project will address the problem of discarding unwanted by-catch and juvenile food fish in particular through the introduction of appropriate fishing technologies and practices, in combination, where appropriate, with introduction of legislation and a management framework including control and enforcement strategies.
The overall objective of the Project is then to reduce discard of fish captured by shrimp , trawlers, primarily by introducing technologies that reduce the catch of juvenile food fish secondary through management and research in the biology of the exploited resources and fishing gear fields.
The ultimate output of the project will be the adoption by several of the participating countries of fishing technologies and practices that are environmentally friendly, so that their shrimp trawling fisheries will enhanced in terms of the environmental performance and reduction of biological impacts and be regarded as more sustainable in the future a direct outcome of the project will be the reduction in number of juveniles caught by trawlers using BRDs (By – catch Reduction Devices) compared to trawlers not using such devices.
Outcome of the project
Part of the overall Work-plan of project EP/GLO/201/GEF is to monitor in each participating country:
v The ongoing evolution of the commercial shrimp trawling fisheries, covering the number of each major type of vessel involved, estimates of fishing effort and records of their landings;
v The typical rate of shrimp-catch, by-catch and discards made over an annual cycle by typical vessels from each main sector of the commercial shrimp-trawling fleet, both before, and after adoption of By-catch Reduction Devices (BRDs) by these vessels;
v The socio-economic changes which may be brought about by the adoption of BRDs in the commercial shrimp – trawling fleets:
Possible linkages
This project will be very useful for the assessment and sustainable management and conservation of biodiversity regional project for data collection since arrangements have been made with industrial fishing companies to use their vessels to collect data and information. The GCLM project should also use this approach with regard to fishing industries
2. Global International Water Assessment (GIWA)(GEF-UNEP)
What is GIWA?
GIWA is the GEF/UNEP project; it makes a major contribution to policies and actions that will lead to protection and more sustainable use of international waters; the products of GIWA are expected to represent the most objective comprehensive assessment of transboundary water issues, and their societal root causes, conducted so far.
GIWA carries out collection of data and their processing in 66 sub-regions simultaneously, makes full use of existing assessments and all other available information, incorporate the findings of past water-related programmes and work in close partnership with ongoing programmes to maximize the overall benefit.
The Gulf of Guinea is one of the 66 sub-regions identified by GIWA(Sub-region 42). The GIWA work so far in the Gulf of Guinea concern water assessment of the four basins within the Gulf of Guinea, notably: Congo Basin, Volta Basin, Niger Basin and the Comoe Basin. In each of these basins, environmental assessment of water based on GIWA methodology has been done: assessment of key environmental concerns and issues. Problem areas identified are. I) Freshwater shortage; ii) Pollution; iii) Habitat and community modification; iv) Unsustainable exploitation of fisheries and other living resources and v) Global change
Possible linkages
Information gather by GIWA will be very useful to finalize the TDA and other aspects of the project. Within the UNEP context, the Regional Seas Programme which includes 13 conventions and action plans and involves more than 40 states; the Global Programme Action for Protection of the Marine Environment from Land-based Activities; the programmes for the management of a number of transboundary river basins as well as number of conventions for which UNEP provides the secretariat
3. Ocean Data and Information Network for Africa, Second Phase (ODINAFRICA-II)
IOC/UNESCO/Government of Flanders
Objectives of ODINAFRICA-II
ODINAFRICA-II is an initiative of 20 African coastal states (12 in the west and Central Africa and Mediterranean: Tunisia, Morocco, Senegal, Guinea Conakry, Côte d’Ivoire, Ghana, Togo, Benin, Nigeria, Cameroon, Gabon and 8 in East Africa: Kenya, Tanzania, Madagascar, Seychelles, Comoros, Mozambique, South Africa, Mauritius). The overall objective of the project is to reinforce capacity building of participating countries on ocean data and information management by providing them will adequate training, equipment and internet facilities; create national data center with aim to collect, analyze and disseminate ocean data and information. A network of scientists and institutions has been established within these countries
Possible linkages
8 countries of the GCLME are part of ODINAFRICA-II project; the 6 countries which participated in the first phase of the GOGLME are also part of ODINAFRICA. The network put in place will be very useful for the implementation of the GCLME and also will bear some cost.
4. Control of Exotic Aquatic Weeds in Rivers and coastal Lagoons to Enhance and Restore Biodiversity in Côte d’Ivoire (UNDP-GEF-Biodiversity)
The infestation of bodies of water by invasive aquatic plants (IAP) initially observed in the early 1980s is now reaching alarming proportions. The main invasive species is Eichhornia crassipes but Salvinia molesta and Pitia stratiotes have also been observed, as have other species (lotus, nymphaea, etc) These weeds are seriously impacting the life of riparian human population; they also pose threat to aquatic life. Some freshwater bodies are entirely covered. Aquatic life is also impacted by chemical shock in the lagoons brakish water where large quantities of water hyacinth are carried by floods and accumulate to rot. It is necessary to preserve the very rich but as yet little known biodiversity of the Ivorian ecosystems
Possible synergies should be develop between the GCLME and this project in the context of aquatic biodiversity conservation, pollution
4. Coastal wetlands management in Ghana (UNDP-GEF-International Waters)
Design and implementation of a Coastal Zone Management Plan to protect five environmentally-sensitive and threatened coastal Ramsar sites of global importance for migratory birds. The project includes: a) monitoring of ecological conditions at the sites; b)preparation and implementation of site management programs and the training of site managers and wardens; and c) relocation of a sewage plant outlet that would have discharged into Sakumo Lagoon.
Possible linkages: collaboration will be developed between the GCLME, in particular the demonstration project on mangrove in Nigeria and the integrated coastal zone management project in Cameroon and the Ghana project.
5. Reversing Land and Water Degradation Trends in the Niger Basin
(UNDP-World Bank-GEF-International waters)
The objective of this project is the sustainable development of the Niger Basin and the protection of its dryland and aquatic resources and associated biodiversity; the project will support the nine riparian countries which include the following GCLME countries: Benin, Cameroon, Côte d’Ivoire, Guinea Conakry, Nigeria
Possible linkages: countries cited above should at their national level develop synergies with this project with aim to avoid duplication of activities and also to learn from their experience
6. Integrated management of the Volta River Basin (UNEP/UNDP-GEF-
International Waters)
The objective of the proposed project is to facilitate the establishment of a multi-country management framework, to produce a diagnostic of main transboundary issues, and to define agreed measures to reverse/prevent resources degradation (Strategic Action programme). The GCLME countries involved in this project are: Benin, Côte d’Ivoire, Ghana, and Togo
Possible linkages: countries cited above should at their national level develop synergies with this project with aim to avoid duplication of activities and also to learn from their experience
7. African Water Page
The main objective of the African Water Page, published by the Water Policy International is to increase communication on the Continent of Africa between people working on water. However, the level of connectivity to the internet is very low. With other forms of communication being a difficulty, the internet adds enormous potential to data accessibility for professionals, particularly those working in Government service. Not only is data more accessible, but with email, News Groups and WWW communication between sector professionals can also be enhanced. There is a distinct sense of isolation of people working, sometimes against daunting odds, in countries all around Africa. As the African Water Page develops, one of the objectives is to encourage African professionals to become members of a closed forum for sharing of information and support, and to promote frank discussion about some of the difficulties facing African professionals.
Possible linkages: this will be important for dissemination of the project information ; the regional project on information should establish collaboration with African Water page and gain for their experience
8. Major intergovernmental agreements in the GCLME
8.1. Convention for Cooperation in the Protection and Development of the Marine
and Coastal Environment of the West and Central African Region
Under the Abidjan Convention, adopted in 1981 and in force 1984, the contracting Parties agree to take all appropriate measures to prevent, reduce, combat and control pollution of the Convention area and to ensure sound environmental management of natural resources using for this purpose the best practicable means at their disposal, and in accordance with their capabilities. There is one protocol to the Convention: protocol concerning cooperation in combating pollution in cases of emergency, adopted in 1981 and in force in 1984
8.2. Convention Creating the Niger Basin Authority
The Convention, adopted in 1980 and in force in 1982, creates the Authority. Its aim is to promote the co-operation among member States and ensure an integrated development of the Niger Basin in all fields, by developing its resources particularly in the fields of energy, water resources, agriculture, animal husbandry, fishing and fisheries, forestry nd forestry exploitation, transport, communications and industry. The Authority is directed to the harmonization of national development policies in the basin through the implementation of integrated development projects and programmes. The protocol relating to the Development Fund of the Niger Basin was adopted with the Convention in 1980.
8.3. International Convention for the Conservation of Atlantic Tunas
This Convention was adopted 1966 and entered into force in 1969. The purpose of the Convention is the conservation of the resources of tuna-like fishes of the Atlantic Ocean
8.3. International Commission for the Conservation of Atlantic Tunas (ICCAT)
This Commission was established in 1969, under the Convention, as an inter-governmental fishery organization responsible for the conservation of tunas and tuna-like species in the Atlantic Ocean and its adjacent seas. ICCAT is the only fisheries organization that can undertake the range of work required for the study and management of tunas and tuna-like fishes in the Atlantic. The Commission’s work requires the collection and analysis of statistical information relative to current conditions and trends of fishery resources in the Convention area
Possible linkages: Most of the countries within the GCLME are signatory of these conventions and commissions. The GCLME should take advantage of existence of these conventions and commissions and develop collaboration for sharing experience develop synergies with aim to protect and conserve the CGLME
9. Other projects
9.1.Conservation and sustainable use of forest ecosystems of central Africa region project (Le projet (ECOFAC) financing by European Union;
9.2.Programme of protection and development of marine and coastal environment for West and Centre Africa region (WACAF) jointly implemented by FAO and UNEP in collaboration with UNESCO and IUCN
9.3. Maritime Fisheries project implemented by FAO within the frame work of the COREP (Fishery Committee of the Gulf of Guinea) with the head office in Libreville, Gabon.
9.4. Tropical Forestry Action Programme(PAFT) , a regional initiative with national component and supported by OIBT(Organisation International des Bois Tropicaux) and various donors
9.5. Regional project on on Environmental Information management (PRGIE) implemented within the framework of GEF World Bank in collaboration with FAO and USAID
9.6. Central Africa Regional project on Environment (CARPE), an initiative of USAID for the countries of the Congo Basin
9.7.Sustainable Management of Central Africa Wetland Forest Ecosystems Programme implemented by IUCN, with GEF support
Possible linkages: there is no framework of coordination to avoid duplication. The GCLME is an opportunity to develop synergies and collaboration mechanism with all these initiatives.
Etc..